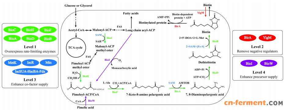
本研究的多级代谢工程如下:一级,通过启动子和RBS工程过表达生物素合成途径中限速酶的编码基因;二级,通过敲除生物素合成的负调控因子和生物素导入基因解除对生物素合成的调控;三级,增强生物素合成途径中辅因子的供应(S-腺苷-L-甲硫氨酸和[Fe-S]簇);四级,通过引入枯草芽孢杆菌的BioW-Biol途径增加前体庚二酸硫酯的可用性。通过以上多级调控的组合构建了生物素高产菌株,生物素的产量增加460倍以上,以甘油为碳源,生物素在摇瓶中的最终产量为87.17 mg/L,在分批补料发酵中产量为271.88 mg/L,这是目前使用微生物细胞工程生产生物素的最高浓度。

图1 P. mutabilis ATCCC31014生物素合成代谢工程示意图











