甲基转移酶在微生物合成天然产物中的应用
张香燕,申晓林,孙新晓,王佳,袁其朋
张香燕, 申晓林, 孙新晓, 等. 甲基转移酶在微生物合成天然产物中的应用. 生物工程学报, 2021, 37(6): 1869-1886.
摘要:甲基转移酶 (Methyltransferases,MTs) 普遍存在于所有生物有机体中,通常以S-腺苷甲硫氨酸作为甲基供体催化底物的甲基化反应,在基因的表达调控和许多天然化合物的合成中起着至关重要的作用。近年来,在微生物中异源表达MTs以实现一些重要天然产物的生物合成取得了巨大的进步,但迄今为止这方面的研究还没有得到详细和全面的总结。文中综述了MTs在微生物合成苯丙烷类化合物、香料类化合物、激素和抗生素等重要天然产物的最新研究进展,重点阐述了应用代谢工程策略高效合成这些甲基化的天然产物,以及利用MTs拓展天然产物分子多样性的研究进展。最后,探讨了MTs应用于微生物合成天然产物所面临的挑战,并对利用MTs进一步高效生产结构和生物活性多样化的天然产物进行了展望。

图1 利用MTs合成木质素单体

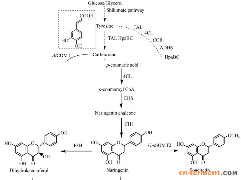
图2 利用MTs生物合成黄酮类化合物

图3 利用MTs生产--葡糖基香草醛

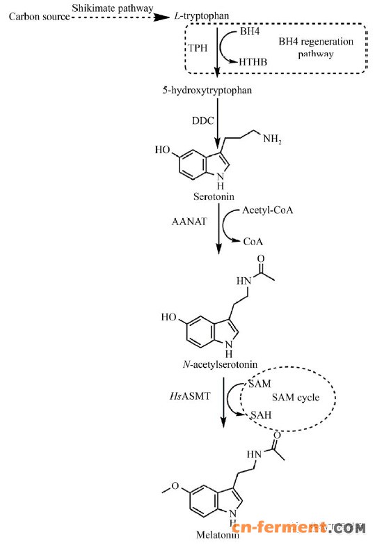
图4 利用MTs合成褪黑素

图5 雷帕霉素、四霉素和柔霉素的化学结构及MTs的催化位点
■ 通讯作者







