返回
医用酶制剂
首页
>
发酵产品
>
医药
>
医用酶制剂
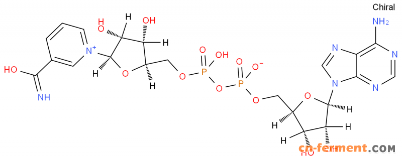
β-烟酰胺腺嘌呤二核苷酸 NAD
2025-06-16 10:33
564
信息概况
价格:
¥1800.00
/千克
品牌:
曼顿生物
起订:
0.5千克
发货:
10天内
发送询价
曼顿生物科技(深圳)有限公司
进入商家主页
CAS:53-84-9
分子式:C21H27N7O14P2
分子量:663.43
烟酰胺腺嘌呤二核苷酸(缩写为NAD),也称为二磷酸吡啶核苷酸(缩写为DPN),或 辅脱氢酶Ⅰ或辅酶Ⅰ。在哺乳动物体内存在氧化型(NAD+)和还原型(NADH)两种状态,氧化型 (NAD+)在260nm处具有最大紫外吸收光谱,通过各种脱氨酶,从底物中接受一个氢原子和一个电子,变成还原型(NADH),在340nm处有最大吸收。
联系方式
公司:
曼顿生物科技(深圳)有限公司
状态:
离线
发送信件
在线交谈
姓名:陈玉蕊(女士)
电话:
0755 89664337
手机:
15813701624
地区:广东-深圳市
地址:
深圳市坪山区坪山街道六联社区联浪路16号海科兴留学生产业园B栋218
QQ:
1113429309
微信:
15813701624
0
人关注
0
人点赞
举报
评分:
分
扫一扫访问当前网页
复制链接
二维码
短信
邮件
关闭
同类发酵产品
β-烟酰胺单核苷酸
¥
800.00
β-烟酰胺腺嘌呤二核苷酸磷酸 NADP
¥
12000.00
大量供应单胺氧化酶,用于生产帕罗韦德Paxlovid的中间体
大量供销蛋白酶K,Taq酶等分子酶,诊断酶
氨基酸发酵专用金枪鱼浸膏
¥
13.00
金枪鱼浸膏酶制剂专用
¥
15.00
脂肪酶
脂肪酶
膜分离技术在酶制剂工业中的应用
各地最新发酵项目
拟建:内蒙古科宏生物大健康产业项目
发酵项目
9个月前
求购二手液相一台
发酵项目
2年前
拟建:重组蛋白 A 发酵研发实验室项目
发酵项目
3年前
拟建:年产米卡芬净钠原料药278kg发酵项目
发酵项目
6年前
拟建:年产500吨手性酯、1000吨D-乙酯、5吨骨化二醇、200吨烟酰胺单核苷酸(NMN)、500吨2-R-BOC丁酸
发酵项目
4年前
招标:万华化学眉山生物发酵基地发酵系统
发酵项目
4年前
拟建酶发酵工厂,现征地200亩,优先考虑政策好的生物产业园区
发酵项目
4年前
拟扩建工厂,需要新采购发酵罐,配套提取设备
发酵项目
4年前
拟建:年产5000吨盐酸氨基葡萄糖生产线建设项目
发酵项目
11年前
拟建:苏州鲲鹏生物技术有限公司胰岛素、GLP-1类似物生产项目
发酵项目
4年前
查看更多
可租售发酵工厂
广西有小发酵罐工厂诚寻合作,后处理陶瓷膜,纳滤膜,反渗透,双效,结晶等
食品厂
2年前
山西发酵工厂可以对外合作
制药厂
2个月前
山东发酵工厂诚寻合作,具备30m³,60m³和120m³发酵生产线
饲料厂
6个月前
武汉100平发酵实验室出租,有10升和100升发酵罐,配套离心机,液相检测
中试平台
9个月前
山东发酵工厂承接贴牌代工等合作 有6吨发酵罐4套及配套提取设备
发酵工厂招商
11个月前
山东发酵工厂诚寻合作,有2台10吨,1台50台发酵罐,配套均质,膜系统,电渗析,板框过滤,真空烘箱,热风循环等
饲料厂
1年前
华东发酵工厂诚寻合作,有4个50吨发酵罐,配套膜过滤,碟离
制药厂
1年前
南方发酵工厂诚寻合作,6个35吨发酵罐,一条板框过滤、菌渣萃取,二合一过滤,有洁净区
制药厂
1年前
山东发酵工厂有富裕产能,可提供代工服务,60吨,75吨,80吨,100吨发酵罐都有,后提取有碟离,管离,压滤,微滤,超滤,蒸发,干燥等
饲料厂
1年前
山东发酵工厂诚寻合作,有10台100吨发酵罐,配套分离提取设备可做大肠,酵母发酵
食品厂
2年前
查看更多
寻租赁代加工服务需求
求购表面活性素、伊枯草菌素 枯草菌脂肽钠等生物表面活性剂发酵技术
求购技术
3天前
求购脱乙酰酶的发酵技术
求购技术
5天前
求购1,3-丙二醇发酵技术和菌种
求购技术
16年前
求购聚脱氧核糖核酸(PDRN)的发酵法技术
求购技术
1星期前
求购发酵法乳清蛋白技术
求购技术
1星期前
求购喜树碱到10-羟基喜树碱的生物合成技术
求购技术
1个月前
求租发酵工厂,要求发酵罐在30立方以上,总发酵罐容积1200立方,后面带碟机或板框设备
求租工厂
1个月前
求租发酵工厂,要求60到200吨单罐体积,甲类提取车间,精烘包车间,污水处理
求租工厂
2年前
求购低聚异麦芽糖酐生产技术
求购技术
1个月前
求租发酵工厂,需要发酵罐20吨,刮板浓缩蒸水 超滤设备。最好有电渗析
求租工厂
1个月前
查看更多
二手仪器设备
大量转让二手分子生物学相关仪器设备包括分子互作仪,活细胞成像,荧光定量,电转仪,酶标仪等
分析仪器和配件
8个月前
转让二手英格索兰空压机
空压机
8个月前
二手500升发酵罐几乎全新成套设备转让(上海)
发酵罐
8个月前
转让二手分子生物学相关仪器设备
分析仪器和配件
10个月前
细胞实验室二手设备低价转让
分析仪器和配件
1年前
转让2*20吨316材质不锈钢发酵系统1套
发酵罐
1年前
便宜处理二手中试发酵系统
发酵罐
1年前
打包出售3吨发酵罐,好氧厌氧各一台,配套种子罐,储罐,补料罐,空压机,冷干机,八成新
发酵罐
1年前
处理50升发酵罐一套,包括空压机,冷水机,电极,蒸汽发生器
发酵罐
1年前
项目撤掉 转让进口设备 酶标仪 qpcr 核酸提取仪 细胞计数仪 流式细胞仪 显微镜
分析仪器和配件
2年前
查看更多
            
取消
发送询价
分享好友
发酵产品首页
频道列表
我要评论