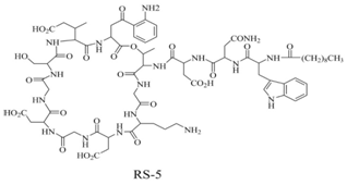
有关物质名称
相对保留时间(RRT)
分子式/分子量
分子结构
RS-5
0.91
1606.67
C71H99N17O26
RS-6
C72H101N17O27
1636.69
RS-7
1.14
C73H103N17O26
1634.72
RS-7a
1.25
C72H99N17O25
1602.68
RS-7b
C72H103N17O27
1638.71
RS-8
1.59
C71H100N16O25
1577.67
RS-8a