1. 混凝土和干混砂浆在施工中存在的问题
当前,我国正处于大规模的基础建设和城市改造的浪潮中,每年的商品混凝土需求量已占到了世界的一半以上。在配制特种混凝土时,我们会经常遇到一系列难题:如泌水、离析以及骨料从浆体中分离。在配制干混砂浆时,也经常会为如何兼顾强度和操作性能的双重要求而殚精竭虑。
针对以上问题,最为切实可行的方法就是在体系中加入粘度改性组分,使骨料在混凝土中稳定地悬浮在浆体中,避免由于自重从浆体中脱离;使在砂浆体系中能够使配制的砂浆达到要求的操作时间,保持水分且不易迅速散失,从而增大粘接强度,保证体系的安全性。
实践证明:作为生物基高分子聚合物,温轮胶(WELAN GUM)与传统的增稠剂(如纤维素醚)相比,在较低掺量下即可有效改善混凝土和干混砂浆的使用现状,增强水泥体系的保水增稠性能,赋予水泥体系优异的流变学特性,从而解决泌水、解析等应用难题,最终达到提高水泥体系强度的目的。
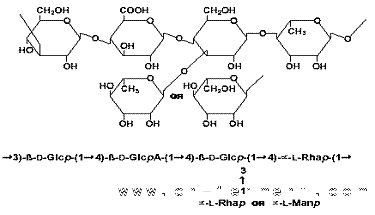
2. 温轮胶的分子结构介绍
温轮胶(WELAN GUM):
温轮胶又称文莱胶,是从产碱菌属培养液提取的菌株以淀粉等碳水化合物为主要原料、利用生物工程发酵制取的生物多糖。它是由D-葡萄糖、D-葡萄糖醛酸、L-鼠李糖、L-甘露糖组成的四糖重复单位。从分子式看,由于其氢健存在于聚合物链上的两个糖苷环之间,导致溶液体系粘度明显增大,使其能更好地粘附在物质表面,使整个溶液体系产生一种大范围的桥式效应,从而增大屈服值,在静置或中等剪切力下保持溶液体系较好的粘聚性,使其具有优异的增稠性、流变性和悬浮稳定性。
温轮胶分子结构示意图:

图2-1 温轮胶分子结构示意图
3. 温轮胶的物理化学特性
(1)保水性
温轮胶具有优异的保水性,能有效而十分均匀地分散在水泥砂浆和石膏基产品中,使整个体系变得十分稳定。包裹的水分由于在相当长的一段时间内才逐步释放,其中部分剩余水分继续和水泥、石灰、或石膏发生水化作用;即使在炎热高温环境下,也有充足的水分和时间发生水化反应,从而保证材料的粘结强度和抗压强度。
(2)流变学特性
温轮胶溶液是一种典型的假塑性(pseudoplastic behavior)流体,其溶液粘度随剪切速率的增加而明显降低。在高剪切速率下,聚合体结构解聚为无规则线团结构,使粘度迅速降低;当剪切速率解除时,分子结构又恢复到双螺旋网状聚合体状态,使溶液粘度瞬间恢复到最大。
加入了VEA的改良体系表现出“剪切稀释”(假塑性)现象,随着剪切速率的增大表观黏度迅速减小。如图3-1所示,在低剪切速率高掺量VEA时,随着剪切速率的增加表观粘度显著减小。
掺有VEA能够增加水泥基体系的屈服强度值、塑性黏度以及表观黏度,不论是在低或者高的剪切速率或者是多大的水灰比和VEA的掺量。含有VEA的水泥砂浆由于其触变性还表现出流动度经时损失。例如,在水灰比为0.45、0.50、0.55的水泥砂浆,研究发现在低剪切速率下表观粘度在搅拌35分钟后增加的比较大。然而,这种粘度的增加在搅拌后容易得到恢复。当砂浆体系中含有高效减水剂时恢复的速率是很高的。

图3-1温轮胶和HPMC的表观粘度与剪切速率的关系
(3)增稠性
图3-2比较了20。C下0.01mol/L 氯化钠水溶液分别含有温轮胶和HPMC(甲基羟丙基纤维素醚)在较低的剪切速率0.1s-1下的表观粘度。

图3-2 温轮胶和HPMC添加浓度与表观粘度的关系曲线
温轮胶在1% KCl溶液中用NDJ型粘度计检测,一般范围为1400-1800cp。
(4)稳定性
温轮胶溶液在一定温度范围内反复加热冷冻,其粘度几乎不受影响,温轮胶的耐温变性更加优异,可以达到150。C,而普通的纤维素醚在40。C就失去了保水增稠的作用;对酸碱十分稳定,在pH为2--12范围内其粘度不受影响,能和许多盐溶液混溶,粘度不受影响。许多酶如蛋白酶、淀粉酶、纤维素酶和半纤维素酶等都不能使温轮胶降解。
4. 温轮胶微观分子结构作用分析
对于温轮胶来说,其保水增稠的作用机理可以分为以下三类:
1、 吸附。长链聚合物分子黏附在水分子的外围,因此吸附并凝固了部分拌和水同时扩展开来;
2、 水合或结合。邻近聚合物分子链的分子能够产生吸引力,进一步使水变稠,形成凝胶同时增加了粘度;
3、 相互缠绕。在低剪切速率下,尤其是在高浓度下,聚合物分子链能够相互缠绕和卷曲,从而增加表观粘度。
具体来说,温轮胶由于其氢健存在于聚合物链上的两个糖苷环之间,导致溶液体系粘度明显增大,使其能更好地粘附在物质表面,使整个溶液体系产生一种大范围的桥式效应,从而增大屈服值,在静置或中等剪切力下保持溶液体系较好的粘聚性,使其具有优异的增稠性、流变性和悬浮稳定性。
5. 温轮胶在干混砂浆中的作用机理
温轮胶具有优异的分散和保水性作用,能有效而十分均匀的分散在水泥砂浆和石膏基产品中,使整个体系变得十分稳定。包裹的水分由于在相当长的一段时间内才逐步释放,其中部分剩余水分继续和水泥、石灰、或石膏发生水化作用;即使在炎热高温环境下,也有充足的水分和时间发生水化反应,从而保证科材料的粘结强度的抗压强度。
温轮胶与可再分散乳胶粉配合使用,对普通水泥砂浆及石膏基产品起到协同改性作用。普通砂浆中因为没有保水和增稠效果,由于基层吸水率大,水分易被基体吸收,水泥水化不完全,造成砂浆强度低,甚至开裂、脱落。加入温轮胶后,使其具有优异的保水功能,砂浆中水不易被吸收,水化较完全,和可再分散乳胶协同渗入基体表面,形成新的粘结表面,该表面有良好的强度和柔度。高的粘结强度对收缩和开裂会产生一定的抑制作用,是阻止开裂的重要因素。
6. 实验总结
在干混砂浆中:
(1)当温轮胶的掺量在0.02—0.10%范围内,不论是在聚苯板还是在混凝土基体上的粘接强度,包括原强度和耐水强度都能满足标准JG 149-2003《膨胀聚苯板薄抹灰外墙外保温系统》的要求。温轮胶的掺入对砂浆强度的降低小于纤维素醚的掺入,在实验中发现温轮胶增稠效果较好;
(2)对于抹面砂浆来说,表征柔韧性的压折比在本实验中没有达到标准的要求(≤3.0),根据压折比的实验数据作图:纤维素醚在掺量0.02—0.10%范围内时,压折比随着掺量的增加而减小;温轮胶在掺量0.02—0.08%范围时,压折比均随着掺量的增加而减小;
(3)对于耐冻融强度而言,根据实验数据作图:纤维素醚、温轮胶和黄原胶在0.02—0.04%的掺量时,耐冻融强度有减小的趋势,在0.04—0.08%掺量范围内,耐冻融强度随掺量增加,在0.08--0.10%掺量范围内又出现减小的趋势,其中变化波动以黄原胶最为显著,纤维素醚次之,温轮胶最小;
在混凝土中:
(1) 随温轮胶掺量的增加,新拌混凝土的初始坍落度和扩展度逐渐降低;掺量为0.01%的温轮胶可改善混凝土的工作性,特别是扩展度的经时损失;
(2)掺有较高掺量(0.03%~0.05%)黄原胶的新拌混凝土虽初始工作性较小,但随时间的增加工作性逐渐增加;而对较高掺量的温轮胶(0.03%~0.05%)则随时间延长,工作性变化不大或减小。
(3)温轮胶使自密实混凝土的早期抗压强度略低,但28d后抗压强度基本上没有影响,且提高混凝土的抗渗性。在自密实混凝土中温轮胶的掺量建议0.03%--0.05%。
(4)温轮胶可显著提高自密实混凝土拌合物的流动性、坍落扩展度、粘聚性及坍落扩展度经时损失。对不同的增粘剂,所需的最佳用量不同。从自密实混凝土拌合物性能综合评价来看,最好温轮胶,其次纤维素醚、黄原胶。
总的来说,温轮胶能够增加混凝土的粘度,改善混凝土的工作性。在自密实混凝土中温轮胶的掺量建议0.03%--0.05%。



