透明质酸(hyaluronic acid,HA),又名玻璃酸,是一种酸性黏多糖,1934年美国Meyer等[1]首先从牛眼玻璃体中分离出该物质。此后,人们对HA的分布、生理作用、化学结构、理化性质、制备工艺及其在医疗和化妆品方面的应用进行了广泛深入地研究。我国从80年代开始研究HA的分离纯化制备工艺[2~5]和临床应用,90年代初已有HA制剂作为新药上市[6],生产方法由提取法发展到微生物发酵法[7]。
1 自然存在及生理作用
HA广泛存在于动物的各种组织细胞间质中,如皮肤、脐带、关节滑液、软骨、眼玻璃体、鸡冠、鸡胚、卵细胞、血管壁等,其中以人脐带、公鸡冠、关节滑液和眼玻璃体含量较高。早期HA主要从人脐带和鸡冠中提取制备。HA是链球菌、绿脓杆菌等类的菌株荚膜中的主要成分,这就是发酵法生产HA的微生物学基础。
在不同组织中HA的生理作用也有所不同:在皮肤中主要表现为保水作用,在关节滑液中主要为润滑作用;在血管壁中主要是调节通透性。另外HA作为聚阴离子电解质,分子上所带的大量负电荷,可调节周围正负离子的浓度,抑制多种酶的活性。
2 化学结构及理化性质
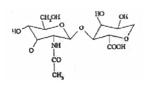
HA是由(1→3)-2-乙酰氨基-2-脱氧-β-D-葡萄糖-(1→4)-O-β-D-葡糖醛酸双糖重复单位所组成的直链多聚糖,见图1。HA的结构非常规则,相同的双糖单位为HA的基本结构单元,不同动物组织和细菌来源的HA无种属差异。对人类及动物无抗原性。HA分子链的长度及分子量是不均一的.分子量范围为2×105~70×106,双糖单位数为300~11000对,属于生物大分子。商品HA一般为钠盐形式.为白色纤维状或粉末状固体,有较强的吸湿性,溶于水,不溶于有机溶剂,医用级分子量为10×105~25×106,化妆品级为5×105~1.5×106。

图1 HA的化学结构
HA水溶液最突出的特点是高黏度,这是由其结构所决定的:一是具有很长的线性分子链;再是分子链上等距离的葡糖醛酸上的羧基所带的负电荷相互排斥,使分子接呈伸展状态,占据较大的空间,而不卷缩成一团。即使在较低浓度下,分子间也有强烈的相互作用,因此具有很高的黏度,同时具有很好的润滑作用。HA在水溶液中分子链之间形成疏松的网状结构,能够结合保持大量的水,即具有较强的保水作用。HA在临床和化妆护肤方面的应用正是基于其高黏度和保水性质。
阳离子可降低HA溶液的黏度,离子强度越高,黏度下降越多,二价阳离子的作用大于一价阳离子。某些三价阳离子,如Fe3+可使HA分子间发生交联,其溶液呈凝胶状,黏度大大增加。多种物理和化学因素如酸碱性、温度、透明质酸酶、紫外线、γ射线等,可使HA大分子降解,导致黏度下降。在HA及其制剂的生产中,应尽量减少分子链的降解,保持其大分子特性。
3 HA的生产方法
HA最初是从公鸡冠、人脐带、动物眼球中提取的,这些动物原料的数量有限,成本较高。随着HA的应用范围不断扩大,提取法生产的HA已不能满足医药和化妆品生产的需要。为了寻找HA的新来源,降低生产成本,研究了发酵法生产HA[8]。
早在1937年,Kendall等[9]就发现链球菌可产生HA,许多人对此进行了研究。结果表明,链球菌属的多种细茵都有荚膜,这种荚膜的主要成分就是HA。链球菌在生长过程中荚膜的产生有几种不同的情况,有的菌株在整个生长期都有荚膜,有的在对数生长期的前段产生、后段消失,有的根本不产荚膜。进一步的研究发现这与所用的菌种是否产生透明质酸酶有关,荚膜的消失是由于被酶解了。透明质酸酶的产生对HA的发酵是非常不利的。有观点认为有荚膜的链球菌就不产透明质酸酶,产透明质酸酶的菌种就不产荚膜;也有研究发现产荚膜的链球菌也产生透明质酸酶,荚膜的有无是HA生物合成与酶解的动态平衡的结果[10]。
早期对链球菌产生HA的研究,是为了说明链球菌的这一特性以及由HA组成的荚膜的作用等,而不是以发酵生产HA为目的,收率在每升培养液0.6g以下。工业化生产水平的HA发酵是日本资生堂开始研究的,他们借鉴前人对某些链球菌产生HA这一重要发现,利用现代发酵技术和设备,以提高HA产率为目的,对发酵生产HA进行了较全面地研究。之后日本的许多公司和研究机构相继开展HA发酵研究,HA的发酵水平从2~4g/L,提高到6~7g/L。80年代中期,日本已有发酵生产的HA上市,价格大大低于从动物原料提取的产品。提取法和发酵法生产HA的比较见表1。发酵法生产HA比提取法有较大优势。这方面的研究主要集中在日本,英国和美国也有少量报道。本所是国内最早从事HA发酵研究的,从90年代初开始,先后完成了小试[7]和中试实验[11],并已投入生产。
表1 提取法和发酵法生产HA的比较[12]

目前所用的菌种是链球菌属的A群和C群。A群主要是酿脓链球菌等,但由于A群致病性较强,较少使用。C群致病性较弱,多采用此类茵,主要有兽疫链球菌、马链球菌和类马链球菌等。菌种从保藏机构获得或从动物的鼻黏膜或眼结膜分离得到,这些现有的菌种大多数都产透明质酸酶,HA发酵产率低。发酵产率较高的菌种一般是经诱变得到。诱变的方法为紫外线照射或诱变剂处理。日本专利[13]报道了一种用NTG(N-甲基-N-硝基-N-亚硝基胍)诱变的方法:原始菌种是从牛鼻黏膜分离得到的,经鉴定为兽疫链球菌,为β溶血型,产HA也产透明质酸酶。为了克服原菌种的不利因素,进行了两步诱变,第一步用NTG处理后,接种于血琼脂培养基上进行培养,收集无β溶血环的菌落,得到不产生β溶血素的变种;对此再进行第二步NTG处理,分离鉴别得到不产生透明质酸酶的变种。此诱变菌种在发酵过程中HA只合成不酶解,可在发酵液中不断积累,发酵产率高达6.7g/L,分于量≥2×105,未经诱变的原菌种发酵产率仅为2 g/L,分子量为3×105~6×105。两步处理的诱变率分别为4×10-6和5×10-5,即从几十万甚至上百万个细菌中才能得到一个所需的变种,工作量之大是可想而知的。
链球菌的营养要求较高,一般资料介绍说在加血液或血清的培养基上才能生长,这对于工业化生产来说成本太高。目前专利文献中所介绍的菌种,其发酵液中均未加血清。所用的氮源为各种肉浸膏、蛋白胨、氨基酸、酵母膏、大豆蛋白水解液、尿素、无机铵盐等。其中酵母膏最常用,它除了作氮源外还含有多种维生素,有些是菌种生长所必须的。在发酵液中添加一定量的谷氨酸和精氨酸,可以提高HA 的产率[14,15]。碳源主要是各种单糖、蔗糖和淀粉水解物,也有用玉米浆的,它既是碳源也是氮源。最常用的是葡萄糖。其它还有磷酸盐、硫酸盐,钾、钠、钙、镁等无机盐,铁、锰、铜、锌等微量元素。
HA的发酵有需氧发酵也有厌氧发酵。通气对于链球菌产生HA的作用尚有争论。Cleary等[16]发现,通气刺激链球菌产生HA荚膜,形成一个隔氧的屏障,阻止分子氧对菌体的毒害作用。但在厌氧条件下链球菌也产生HA,Bracket等[17] 指出,通二氧化碳的厌氧发酵,可将HA的收率提高到2g/L以上。目前看来,多倾向于有氧发酵,专利文献中HA产率较高的多采用通气需氧发酵,而且分子量高。厌氧发酵产率低,分子量也低。在整个发酵过程中通常保持一个适当的溶氧量,而在不同的阶段采用不同的溶氧量,也是提高HA产率的手段之一。
在HA的发酵生产中,pH值是一个重要的因素,一股控制在6.0~8.5范围内,低于6.0或高于8.5,会影响菌体的生长,降低HA的产率和分子量[18]。在发酵过程中,菌体会产生乳酸和醋酸等小分子有机酸,使发酵液pH值降低。需要用氢氧化钠或碳酸钠溶液进行中和,以维持适当的pH值。HA的发酵温度通常为37℃、也有的采用35℃或33℃等较低的温度,这需视具体菌种而言。
HA发酵的一船工艺流程为:试管菌种接入三角摇瓶中37℃振荡培养12~18h,接入已灭菌的种子罐中,接种比例为1:200左右,培养l2~18h,镜检菌体生长良好,无杂菌后接入已灭菌的发酵罐中,接种比例为1:10左右。发酵过程中,需要检测的参数主要有pH值、溶氧量、葡萄糖含量、发酵液黏度、HA含量和菌体密度等。菌体在发酵时不断向发酵液分泌HA,随着HA在发酵液中累积,发酵液的黏度逐渐增高,测定发酵液黏度可直观地反映出HA产率的高低。菌体密度以OD660(660nm处的光吸收度)或单位体积发酵液中的菌体湿重来表示。值得注意的是,对于同一菌种,在不同的发酵条件下,菌体密度高,HA的产率不一定高,这说明细菌在某种条件下主要进行菌体增殖,HA作为次级代谢物的产生减少了,它不是构建菌体所必需的物质。检测葡萄糖含量,是观察菌体对糖的利用情况,必要时可在发酵过程中补充一定量的葡萄糖,葡萄糖含量降到接近零时为发酵终点。
发酵液中HA在菌体外的溶液中游离存在,与从动物组织提取相比,无需提取步骤,易于分离纯化。首先要杀灭和除去发酵液中的菌体,通常加入杀菌剂或加热灭活菌体后离心或过滤除茵。HA含量较高时,发酵液黏度很高需要用水稀释后再离心或过滤除菌体,滤液再经乙醇沉淀、氯代十六烷基砒啶(CPC)沉淀、超滤等方法进行分离纯化,最后用有机溶剂沉淀、真空干燥制得最终产品,为白色纤维状或粉末状。
乙醇沉淀步骤在HA的分离纯化中占有重要地位,往往需要重复进行2~4次。用乙醇沉淀HA时,HA溶液中一定要有盐的存在,否则不产生沉淀,这是酸性黏多糖的共性。常用的盐为NaCl和NaAc,浓度在1%左右即可。乙醇沉淀HA,可除去不能沉淀的杂质,还有一个重要的作用是脱色,经多次乙醇沉淀后,HA为纯白色。
发酵生产HA具有产量不受原料资源限制、成本低、分离纯化工艺简捷、易于规模化生产等特点,是HA生产的发展方向,应进一步深入研究和提高。






