甾体激素类药物是一类重要的医药产品,在世界范围内其产值仅次于抗生素,居第二位。甾体激素药物结构复杂,其生产主要依赖于半合成,日本东京大学的Arima和威斯新药学习系Sih发现微生物可降解天然甾醇C17位侧链,生产医药中间体AD和ADD,AD或ADD再经化学方法进行结构改造可获得一系列有价值的甾体药物,而且生产工艺路线短、得率高、成本低,从而使甾体药物的工业生产结构发生了重大的变革。我国自80年代初开始研究甾醇的侧链微生物降解生产技术,现已接近国际先进水平。
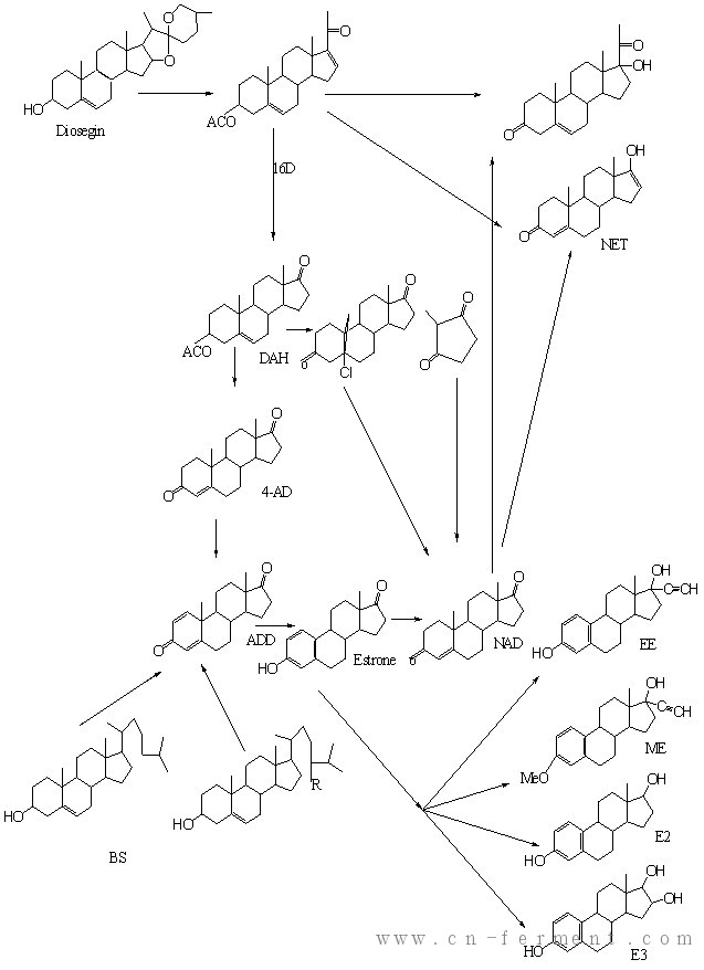
植物甾醇侧链降解有着很重要的实际意义及可观经济效益[74]。以豆甾醇侧链降解的产物雄烯二酮(4-AD)及雄二烯二酮(ADD)为原料可得到各种甾体药物。目前生产用量较大的有利尿药物螺内酯及计划生育药物炔诺酮、苯丙酸诺龙、米非司酮等重要激素药物。ADD是合成19-去甲甾体系列雌激素,如雌酮(Estrone)、炔诺酮(Norethisterone)的重要前体物,雌性激素占甾体药物的20%,主要用于妇科病治疗及作为口服避孕药。以前,雌酮是由薯芋皂素经16D(16-脱氢孕甾烯酮乙酯)及其20位酮基氧化、贝克曼转位、加水分解切断C17位等,再经由DHA(脱氢表雄甾酮醋酸脂,dehydroepiandrone acetate)、4AD等数道工序制备出ADD,将ADD热分解等工序制造雌酮。现今依据三菱化成公司开发的ADD发酵法,自甾醇类经ADD仅两道工序就制造出雌酮。据报道通过ADD与4-AD可以合成几乎所有的甾体药物,ADD与4-AD除了可以合成性激素外,还可以通过在ADD与4-AD的17位酮基上引入皮质激素侧链使之能够应用于皮质激素的生产,虽然现在还未能在生产上得到应用,但这方面的研究是一个热点。目前皮质激素的生产仍大多采用薯芋皂素生产。现在大生产中所用到的中间体4-AD是由薯蓣皂苷元经过裂解、氧化、酮肟、重排四步化学反应制得的,其总收率为37%-38%。由甾醇、胆固醇制造雌激素或由薯芋皂素生产雌激素的制造工艺见图1-5,由图1-5可看出由甾醇制得ADD用于生产雌激素比薯芋皂素生产法具有明显的优势。此图同时表明生产性激素的重要前体物ADD与AD,由甾醇制备比用薯芋皂素制备更加方便。
我国是油料生产大国,油脂工业副产物中蕴藏着极为丰富的植物甾醇资源,随着人民生活水平的提高,油脂精炼工业的飞跃发展,按精炼能力与植物甾醇的含量估算,我国油脂生产厂家仅脱臭馏出物中就蕴藏植物甾醇总量近1000t。目前国际上商品植物甾醇的70%以上来源于大豆脱臭馏出物,在甾醇资源方面我国有许多优势,除了传统的主油料产品大豆、菜籽、花生等资源外,米糠也是具有较大开发潜力的植物甾醇资源[75]。但就目前来讲,我国相当大部份的甾醇资源被白白浪费掉了,以大豆油脚为例,大豆油脚作为豆油生产过程中的副产物,在我国,特别是东北地区来源丰富,据不完全统计,国内大豆油脚总产量在10万吨以上。因此对油脚资源的合理利用将产生巨大的经济效益。长期以来,大豆油脚没有得到很好的利用,大多数油脚被用来生产劣质肥皂或生产质量极差的粗脂肪酸用于制造建材脱模剂或低档涂料。部分油脚被用来生产饲料级磷脂或低档的食品级粗磷脂,有些技术落后的地区油脚被当作肥料,甚至当作废物丢弃,这无疑是对自然资源的极大浪费。大豆油脚是大自然赋予我们的一种宝贵资源,除甾醇可利用外其余成份也具有重大的利用价值,如生育酚可用来制备天然维生素E。
由此可见,在我国建立以甾醇为原料的新甾体医药工业,不仅可促进制药工业的发展,也会带动其他工业的发展;不仅具有重要的经济效益,也具有明显的社会效益。

图1-5 由不同原料生产性激素的工艺流程
Fig 1-5 Technological process of sex steroids production from different raw materials



