香料香精在食品、日化、烟草和制药等国民经济行业有重要应用,是常用的添加剂。目前香料香精的销售额在世界精细化工大行业中仅次于医药行业,居第2位。据估计,2019年全球香料市场为280亿美元以上。香料主要通过化学合成和天然提取获得,而天然提取的香料包括植物和动物来源。芳香族香料化合物在香料中占很大的比重,植物源的如香兰素(Vanillin)、苯乙醇(2-phenylenthanol) 及肉桂醛(Cinnamaldehyde) 等(图 1)。芳香族香料化合物的化学合成主要以石油基苯、甲苯及二甲苯等为原料。化学合成具有环境不友好、反应条件复杂等很多缺点。我国是天然香料生产大国,但来自植物源芳香化合物含量低、蒸馏/萃取过程成本高,其生产受植物资源的限制,且占用耕地。在这种情况下,发展白色生物技术,用微生物合成天然香精香料,是一种极具经济性且可替代传统的植物源和石油基芳香族香料化合物的生产方式。
![]() |
| 图 1 部分代表性芳香族香精香料或中间体. 香兰素(Vanillin)、3-脱氢莽草酸(3-dehydroshikimic acid)、苯乙醇(2-phenylenthanol)、肉桂醛(Cinnamaldehyde)、乙酸肉桂酯(Cinnamyl acetate)、苯甲酸苯甲酯(Benzyl benzoate)、4-羟基香豆素(4-hydroxycoumarin)、三甲氧基苯(1, 3, 5-trimethoxybenzene) 及覆盆子酮(Raspberry ketone)Fig. 1 Representative aromatic fragrances and intermediates. |
|
图选项
|
近年来,随着代谢工程和合成生物学技术的发展,微生物合成芳香族香料化合物取得了较大进展。大肠杆菌和酵母菌等微生物具有遗传改造简单、生长快、可规模化生产、可利用廉价的生物基原料合成等特点,成为生产芳香族化合物的常用宿主。这些芳香族化合物大多来源于莽草酸途径的中间体或芳香族氨基酸。莽草酸途径始于来自碳中心代谢途径的D-赤藓糖-4-磷酸(Erythrose 4-phosphate,E4P) 和磷酸烯醇式丙酮酸(Phosphoenolpyruvate,PEP) 缩合,经3-脱氧-δ-阿拉伯糖庚酮糖-7-磷酸(3-deoxy-D-arabino- heptulosonate-7-phosphate,DAHP) 合酶(DAHP synthase) 催化,羟醛缩合生成DAHP,接着经6步酶催化反应合成分支酸(Chorismic acid)[1]。分支酸是合成芳香族氨基酸、叶酸、辅酶Q等芳香族化合物的前体。通过莽草酸途径,创建人工合成途径或利用天然的合成途径,经过还原、裂解或酯化等方式可形成结构多样的芳香化合物。另外,芳香族化合物如覆盆子酮(Raspberry ketone) 等也可以起源于聚酮合成途径,经Ⅲ型聚酮合酶(Type Ⅲ polyketide synthase,Type Ⅲ PKS) 催化合成。本文将重点对代表性的芳香族香料化合物的生物合成研究进行介绍。
1 芳香族氨基酸合成中间体衍生合成香料1.1 香兰素的生物法生产香兰素天然主要存在于植物香荚兰中,具有香荚兰香气及浓郁的奶香,是世界上最重要的香料之一。香兰素大部分应用于食品工业,是高档食品不可缺少的调香原料,在饮料和医药工业中也发挥重要作用,全球每年的需求量超过18 000 t,大多由化学合成获得[2]。化学法合成的香兰素,价格每公斤不到15美元,而天然提取的香兰素价格昂贵,每公斤售价可达1 200美元以上[2]。
植物中香兰素的生物合成途径一直是研究的热点,但还没有完全解析。推测植物中香兰素通过苯丙氨酸途径由肉桂酸(trans-cinnamic acid) 合成(图 2A):一种可能途径是经羟化、甲基化,形成阿魏酸(Ferulic acid),侧链直接裂解或形成阿魏酰-CoA再裂解形成香兰素;另一种可能途径是先羟化形成对香豆酸(4-coumalic acid),然后侧链裂解形成对羟基苯甲醛(4-hydroxybenzaldehyde),进而发生羟化或甲基化等反应形成3, 4-二羟基苯甲醛(3, 4-dihydroxybenzadehyde)、香兰素[3]。
![]() |
| 图 2 香兰素生物合成(A:植物中香兰素可能的生物合成途径;B:已证实的微生物转化阿魏酸生成香兰素的过程;C:大肠杆菌中构建的阿魏酸生物转化过程) Fig. 2 Vanillin biosynthesis. (A) Three putative pathways for vanillin biosynthesis in plants. (B) The confirmed pathway for transforming ferulic acid to vanillin in microorganisms. (C) Ferulic acid biotransformation pathway constructed in Escherichia coli. C4H: cinnamate 4-hydroxylase; HBS: 4-hydroxybenzaldehyde synthase; P450: cytochrome P450 enzyme; OMT: O-methyltransferase; FCS: feruloyl-CoA synthetase; ECH: hydratase/aldolase; FDC: ferulic acid decarboxylase; Cso2: coenzyme-independent oxygenase. |
目前,香兰素生物法生产是以阿魏酸、木质素单体、丁香酚、异香酚和香草酸等为原料进行微生物转化。以荧光假单胞菌、拟无枝酸菌、链霉菌等微生物转化阿魏酸合成香兰素,最高产量超过10 g/L的香兰素[4],其生物转化途径如图 2B所示,由阿魏酰-CoA合成酶(FCS)、水合酶/醛缩酶(ECH) 催化,使阿魏酸侧链减少2个碳原子形成香兰素。2005年Yoon等从香兰素生物转化的原始菌株拟无枝菌酸菌Amycolatopsis sp.中克隆了阿魏酰-CoA合成酶基因(Feruloyl-CoA synthetase,fcs) 和水合酶/醛缩酶基因(Hydratase/ aldolase,ech),并导入大肠杆菌中异源表达,发酵条件优化后得到1.1 g/L的香兰素[5-6]。Kino研究组在大肠杆菌中组合表达脱羧酶(FDC)、氧化酶(Cso2),以阿魏酸为底物,经两步全细胞催化反应,经4-乙烯基愈创木酚(4-vinylguaiacol) 生成香兰素7.8 g/L,见图 2C[7]。Fleige等通过敲除Amycolatopsis sp. ATCC39116的香兰素脱氢酶基因(Vanillin dehydrogenase,vdh),使香兰素的降解减少90%以上,合成代谢基因ech和fcs的组成型和增强型表达进一步提高香兰素的产量至19.3 g/L;此外,改进进料策略,以5.5 g/(L·h) 速率添加阿魏酸,可使香兰素的产量达到22.3 g/L[8]。
通过设计人工生物合成途径,可以实现以葡萄糖等廉价碳源合成香兰素。1998年Li等在积累3-脱氢莽草酸(3-dehydroshikimic acid,DHS) 的大肠杆菌中引入3-脱氢莽草酸脱水酶(AroZ) 和儿茶酚-氧-甲基转移酶(Catechol-O-methyltransferase,COMT) 依次合成原儿茶酸(Protocatechuic acid)、香草酸(Vanillic acid),然后利用分离自粗糙脉孢菌Neurospora crassa中的芳基乙醛脱氢酶(Aryl aldehyde dehydrogenase,ALDH) 催化形成香兰素,首次实现以葡萄糖为原料合成香兰素[9]。2009年,Hansen等以葡萄糖为初始底物,分别向裂殖酵母Schizosaccharomyces pombe和酿酒酵母Saccharomyces cerevisiae中引入来自粪生霉菌的3-脱氢莽草酸脱水酶、诺卡氏菌属Nocardia genus的细菌芳香羧酸还原酶(Carboxylic acid reductase,CAR) 和来自人源Homo sapiens 2-氧-甲基转移酶(O-methyltransferase,OMT),同时敲除降解香兰素的基因,分别获得0.065 g/L和0.045 g/L香兰素,如图 3所示[10]。在香兰素工程菌株中,引入拟南芥UDP-葡萄糖基转移酶,将香兰素转化为毒性较低的β-D-葡萄糖苷,使香兰素的产量提高了5倍[11],β-D-葡萄糖苷可通过酶促反应合成香兰素。另外,原儿茶酸甲基化合成香草酸是香兰素合成的限速步骤,Kunjapur等建立中间体香草酸的生物传感器,并成功应用于筛选活性提高的甲基转移酶[12]。
![]() |
| 图 3 微生物从头合成对羟基苯甲醛和香兰素 Fig. 3 De novo biosynthesis of 4-hydroxybenzaldehyde and vanillin in microorganisms. Aro Z: 3-dehydroshikimate dehydratase; OMT: O-methyltransferase; CAR: carboxylic acid reductase. |
在香料化学上,以对羟基苯甲醛(4-hydroxybenzaldehyde) 为前体,可以合成大茴香醛、香兰素、洋茉莉醛、丁香醛、覆盆子酮等许多珍贵的香料。利用大肠杆菌的分支酸裂解酶(Chorismate lyase,UbiC)、来自艾阿华诺卡氏菌Nocardia iowensis羧酸还原酶(Carboxylic acid reductase,CAR) 创建人工合成途径,可以将分支酸(Chorismic acid) 依次转化成对羟基苯甲酸(4-hydroxybenzoic acid)、对羟基苯甲醛,从而实现以葡萄糖为原料从头合成,见图 3[13]。
1.2 3-脱氢莽草酸的生物法生产3-脱氢莽草酸(DHS) 是莽草酸途径的中间产物,可以进一步转化为原儿茶酸(Protocatechuic acid)、香兰素、儿茶酚(Catechol)、没食子酸(Gallic acid) 等重要芳香族化学品。中国科学院天津工业生物技术研究所进化与代谢工程研究组首先对糖酵解途径、磷酸戊糖途径和莽草酸途径的关键基因进行基因组多位点组合调控,逐步改善DHS合成能力,实现较高水平从头合成DHS[14]。开发了一种转录组辅助的代谢物感应(Transcriptome-assisted metabolite-sensing,TAMES) 策略,以此为基础,利用该DHS生物传感器,建立了基于流式细胞仪和液滴微流控分选的高通量筛选平台,成功筛选到了DHS提高1–2倍的高产菌株[15-16]。通过靶向代谢物组学分析,鉴定可能限制DHS生物合成的关键基因[17]。在此基础上,重点改善代谢物的碳流量分配,提高DHS合成能力,最终获得工程菌株的DHS产量超过100 g/L,相对葡萄糖的摩尔转化率超过35%。高产DHS菌株是构建下游芳香族氨基酸以及其他芳香族衍生物菌株的优良底盘细胞。在高产DHS底盘细胞基础上,该研究组通过整合内源或外源合成途径,分别实现了原儿茶酸、酪氨酸、左旋多巴的高效生物合成,产量分别达到85 g/L、55 g/L、70 g/L,均能满足工业化发酵生产的要求。
1.3 2-苯乙醇的生物法生产2-苯乙醇(2-phenylethanol) 具有清甜的玫瑰样花香,被广泛应用于发酵食品、化妆品、洗涤产品中。全世界2-苯乙醇的年产量约1万t,目前市场上2-苯乙醇主要以苯、甲苯和苯乙烯(Styrene) 原料化学合成,而食用级别高纯度2-苯乙醇难以获得。化学合成2-苯乙醇价格每公斤22美元,从植物的叶、花及精油中萃取获得的天然2-苯乙醇每公斤1 000美元,人们致力于2-苯乙醇的天然生物合成[18-19]。
自然界中多种微生物具有合成2-苯乙醇的能力,如毕赤酵母Pichia fermentans、马克思克鲁维酵母Kluyveromyces marxianus、芽枝状枝霉Cladosporium cladosporioides和帚状地霉Geotrichum penicillatum等都能在发酵过程中从头合成一定量的2-苯乙醇[19-20]。酿酒酵母从头合成的2-苯乙醇,主要是利用莽草酸途径进行,由于2-苯乙醇对宿主的抑制作用,其产量很低,仅有0.4–0.5 g/L。为了消除产物抑制或毒性对菌株生长带来影响,可利用原位产物分离技术提高2-苯乙醇的生产。在S. cerevisiae HJ中,用油酸作为萃取剂得到的2-苯乙醇浓度为2.2 g/L,产量增加8.6%[21]。Wang等利用S. cerevisiae GivR-UV3,通过在发酵过程中结合添加吸附树脂作为萃取剂来提高2-苯乙醇的产量,其浓度最终可达32.5 g/L[22]。另外,在微生物发酵液中添加前体物质L-苯丙氨酸,通过艾利希途径(Ehrlich pathway) 会大幅度提升菌株合成2-苯乙醇的能力。在生物转化L-苯丙氨酸生成2-苯乙醇并提高工艺产量和生产率方面已有大量的研究[19],然而,L-苯丙氨酸的高成本和资源的有限性是该方法大规模生产2-苯乙醇的主要问题。所以直接以丰富且成本低廉的可再生糖为原料生产2-苯乙醇,是一种可持续的替代方法。2014年Kim等利用组成型启动子ScPGK1/ScTEF1,在马克斯克鲁维酵母中过表达来源于酿酒酵母的苯丙酸脱羧酶(Phenylpyruvate decarboxylase,Aro10) 和醇脱氢酶(Alcohol dehydrogenase,Adh2),将苯丙氨酸的前体苯丙酮酸(Phenylpyruvate) 转化成2-苯乙醇,并结合代谢工程、定向进化等方法,实现以葡萄糖为原料生产2-苯乙醇,产量达1.3 g/L [23]。
Guo等利用去反馈抑制3-脱氧-δ-阿拉伯糖庚酮糖-7-磷酸合成酶基因(aroGfbr)、分支酸突变酶基因(pheAfbr) 提高苯丙酮酸在大肠杆菌中的产量,结合异源表达脱羧酶(Phenylpyruvate decarboxylase,KDC)、氨基转移酶(Aminoadipate aminotransferase,Aro8) 以及过表达醛还原酶(Aldehyde reductase,YjgB) 等获得了可以高产2-苯乙醇的大肠杆菌,产量可达到1.1 g/L以上[24]。另外,Machas等在大肠杆菌中创建了利用苯乙烯生物合成过程从葡萄糖生成2-苯乙醇的新途径,经由苯丙酮酸、苯丙氨酸、肉桂酸(trans-cinnamic acid)、苯乙烯、环氧苯乙烯(Styrene oxide) 等中间体形成苯乙醛(2-phenylacetaldehyde),最后还原生成2-苯乙醇,产量最高可达2.0 g/L[25],如图 4所示。
![]() |
| 图 4 微生物从头合成苯乙醇 Fig. 4 De novo biosynthesis of 2-phenylethanol in microorganisms. KDC: phenylpyruvate decarboxylasee; ADH: alcohol dehydrogenase; PAL2: L-phenylalanine lyase; styAB: flavin dependent monooxygenase; styC: styrene oxide isomerase. |
肉桂酸、肉桂醛(Cinnamaldehyde)、肉桂醇(Cinnamic alcohol) 及其酯类化合物作为香料广泛应用于化妆品行业。Vannelli等将来源于粘红酵母Rhodotorula glutinis的苯丙氨酸/酪氨酸解氨酶(Phenylalanine/tyrosine ammonia-lyase,PAL/TAL)基因在高产苯丙氨酸的大肠杆菌中表达,实现了以葡萄糖为原料合成肉桂酸,由于该酶同时具有酪氨酸解氨酶的活性,也生成了对香豆酸[26]。由肉桂酸可以合成肉桂醛和肉桂醇,需要进行羧酸还原。Bang等通过在产苯丙氨酸的大肠杆菌中引入PAL、4-香豆酰-CoA连接酶(4-coumarate-CoA ligase,4CL)、肉桂酰-CoA还原酶(Cinnamyol-CoA reductase,CCR),实现了肉桂醛的微生物合成,产量达到35 mg/L[27]。Gottardi等在酿酒酵母中过表达来自拟南芥Arabidopsis thaliana的苯丙氨酸解氨酶(AtPAL2)、诺卡氏菌Nocardia sp.的羧酸还原酶(Carboxylic acid reductase,CAR)、大肠杆菌的磷酸泛酰巯基胺基转移酶(EntD) 和内源的醇还原酶,在酵母菌中实现了肉桂醇的合成[28]。Pan等利用羧酸还原酶途径,在大肠杆菌中合成了肉桂醇,引入酵母菌来源的醇酰基转移酶(ATF1),可以实现乙酸肉桂酯(Cinnamyl acetate)的合成,通过前体及途径优化,乙酸肉桂酯产量可以达到627 mg/L,见图 5[29]。
![]() |
| 图 5 微生物合成肉桂醇和乙酸肉桂酯 Fig. 5 Synthesis of cinnamyl alcohol and cinnamyl acetate in microorganisms. PAL: L-phenylalanine lyase; CAR: carboxylic acid reductase; YjgB: aldehyde reductase; ATF1: alcohol acyltransferase. |
对香豆酸(p-coumalic acid) 不仅是黄酮类及芪类等重要植物天然产物的前体,也作为一种有机化工原料,用于制备精细化学品及香精香料。生物体中合成对香豆酸有两条不同的生物途径,其中一条途径是利用苯丙氨酸解氨酶(Phenylalanine ammonia-lyase,PAL) 来催化苯丙氨酸进行脱氨基来生成肉桂酸,然后通过肉桂酸4-羟化酶(Cinnamate 4-hydroxylase,C4H) 催化肉桂酸生成对香豆酸;另一条途径是酪氨酸解氨酶(Tyrosine ammonia-lyase,TAL) 催化酪氨酸生成对香豆酸,而PAL/TAL均可催化苯丙氨酸、酪氨酸脱氨,给菌株改造带来更多的选择性[26]。在酿酒酵母中过表达PAL以及来自植物的C4H,菌株利用葡萄糖或者棉子糖作为碳源,在添加1 mmol/L的苯丙氨酸的情况下,可生成0.065 g/L以上的对香豆酸[26]。Trotman等在大肠杆菌中表达来源于粘红酵母Rhodotorula glutinis的TAL使用全细胞催化方法由酪氨酸合成对香豆酸。经过优化催化条件后,在1 L的发酵罐中能够把50 g/L的酪氨酸转化生成39 g/L的对香豆酸,在发酵罐中进行125 L的生物催化反应,最终纯化得到对香豆酸的产量超过12 kg[30]。Rodriguez等在酿酒酵母中,通过过表达来源于约氏黄杆菌Flavobacterium johnsoniaeu的TAL成功合成了1.93 g/L的对香豆酸[31]。代谢流量分析表明酵母中合成芳香族化合物前体D-赤藓糖-4-磷酸(E4P) 供给不足,通过引入磷酸转酮酶(Phosphoketolase) 的途径,来自短双歧杆菌Bifidobacterium breve磷酸转酮酶(Bbxfpk) 可以将6-磷酸果糖分解成E4P和乙酰磷酸,乙酰磷酸在来自克氏梭状芽胞杆菌Clostridium kluyveri的磷酸转乙酰裂解酶(Ckpta) 催化下形成乙酰-CoA,进入三羧酸循环。通过敲除非特异性磷酸酶(Glycerol-3-phosphatase,Gpp1),阻断乙酰磷酸转化成乙酸的途径。进一步通过增强莽草酸途径和酪氨酸合成途径下游基因表达、解除反馈抑制、启动子调控、平衡糖酵解和莽草酸途径的碳流量等策略,实现对香豆酸的高效合成,产量达到12 g/L以上[32]。
2.3 香豆素类化合物的生物法生产香豆素(Coumarins),是一类具有苯并α-吡喃酮母核的芳香性天然产物,最早从香豆中分离得到,香豆素是广泛存在于自然界中的一种内酯类化合物,现在主要作为烟用和外用香料。该类化合物在植物、真菌和细菌中均有发现,根据苯环上取代基的不同,香豆素结构可分为4类,包括简单香豆素、呋喃香豆素、吡喃香豆素和其他取代香豆素[33]。香豆素通常由苯丙素途径合成,如香豆酰-CoA-2′-羟化酶(Coumaroyl-CoA hydroxylase,C2′H) 和阿魏酰-CoA-6′-羟化酶(Feruloyl-CoA hydroxylase,F6′H) 两种关键酶分别负责将4-香豆酰-CoA和阿魏酰-CoA羟化,然后自动成环,形成简单香豆素伞形酮(Umbelliferone) 和莨菪亭(Scopoletin)。在大肠杆菌中共表达酪氨酸解氨酶(TAL) 和香豆酰-CoA连接酶(4CL) 以及C2′H,以葡萄糖为原料合成了0.002 4 g/L的伞形酮;将TAL、4CL、4-羟基苯乙酸-3-羟化酶(4-hydroxyphenylacetate-3-hydroxylase A,HHA)、咖啡酰-CoA-O-甲基转移酶(Caffeoyl-CoA 3-O-methyltransferase,CCoAOMT)、F6′H在大肠杆菌中共表达,实现以葡萄糖和甘油为碳源生成0.003 1 g/L的莨菪亭,如图 6A所示。另外,F6′H与GST标签蛋白融合后,增强了F6′H的稳定性和溶解性,以对香豆酸、咖啡酸(Caffeic acid) 和阿魏酸为底物分别得到简单香豆素:0.083 g/L伞形酮、0.052 g/L七叶亭和0.080 g/L莨菪亭。通过进一步途径组装,可以实现从葡萄糖合成0.066 g/L的伞形酮和0.061 g/L的七叶亭(Esculetin)[34]。Lin等将异分支酸合成酶(Isochorismate synthase,ICS)、异分支酸丙酮酸裂解酶(Isochorismate pyruvate lyase,IPL)、水杨酰-CoA连接酶(Salicylate-CoA ligase,SCL) 和喹诺酮类合成酶(Quinolone synthase,Pqsd)/联苯合酶(Biphenyl synthases,BIS) 催化的反应转接到莽草酸途径上,开发了以水杨酸(Salicyate) 作为中间体,合成4-羟基香豆素的新途径,其产量为0.50 g/L,如图 6B所示[35]。在此基础上,确定了硫酯酶(YdiI) 在大肠杆菌中可降解水杨酰-CoA,随后敲除该基因,可使4-羟基香豆素的产量提高到0.93 g/L,这是迄今为止的最高值[36]。
![]() |
| 图 6 微生物从头合成香豆素 Fig. 6 De novo synthesis of coumarins in microorganisms. TyrA: chorismate mutase/prephenate dehydrogenase; TAL: L-tyrosine lyase; C3H: coumarate 3-hydroxylase; 4CL: 4-coumarate-CoA ligase; OMT: O-methyltransferase; C2′H: coumaroyl-CoA hydroxylase; F6′H: feruloyl-CoA hydroxylase; ICS: isochorismate synthase; IPL: isochorismate pyruvate lyase; SCL: salicylate-CoA ligase; BIS: biphenyl synthases. |
三甲氧基苯(1, 3, 5-trimethoxybenzene) 是中国玫瑰的重要香味物质,是间苯三酚(Phloroglucinol) 甲酯化衍生物。植物玫瑰中间苯三酚的生物合成途径尚未报道。在荧光假单胞菌Pseudomonas fluorescens中已发现Ⅲ型聚酮合酶PhlD参与2, 4-二乙酰基间苯三酚(2, 4-DAPG) 的合成,用3分子的丙二酰-CoA合成1分子的间苯三酚[37]。Achkar等在大肠杆菌中表达PhlD,首次实现间苯三酚异源合成[37]。通过过表达乙酰-CoA羧化酶,敲除生成乙酸和乙醇的竞争性途径,使细胞中合成前体丙二酰-CoA的产量提高了15倍,与对照菌株相比间苯三酚的产量提高了4倍[38]。通过定向进化提高PhlD热稳定性,其在37 ℃下的半衰期比野生型提高了24倍,间苯三酚产量提高了30%,产量达到2.35 g/L。通过连续发酵产品提取的策略,减少间苯三酚积累,降低细胞毒性,实现高密度发酵,间苯三酚的产量达到3.65 g/L[39]。利用乙酰-CoA合成酶、羧化酶及间苯三酚合酶PhlD,在体外可以将乙酸转化成间苯三酚,通过优化体外反应系统,间苯三酚的产率可以达到0.64 g/g乙酸,是理论转化率的91.43%[40]。过表达这3个酶,以乙酸作为碳源,可在大肠杆菌中合成间苯三酚,进一步弱化柠檬酸合酶基因(gltA),减少三羧酸循环对乙酸的消耗,提高碳代谢流向间苯三酚生成途径,最终间苯三酚产量可达到0.228 g/L[41]。目前,玫瑰中催化间苯三酚生成三甲氧基苯的甲基转移酶(Phloroglucinol-O- methyltransferase,POMT) 已经被鉴定[42],以上工作为微生物合成三甲氧基苯这一重要香料分子奠定了基础,见图 7。
![]() |
| 图 7 三甲氧基苯生物合成 Fig. 7 Biosynthesis of trimethoxybenzene. PhlD: phloroglucinol synthase. |
|
|
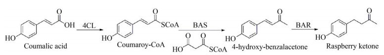
覆盆子酮(Raspberry ketone) 是草莓、覆盆子等的主要香气成分,是国际公认的安全香料之一,国内外大量使用的幽雅果香的香料,年总需求量在1 000 t以上。在覆盆子中覆盆子酮含量低,仅在1–4 mg/kg水平,天然提取的覆盆子酮价格昂贵,市场上的覆盆子酮主要依赖化学合成。微生物合成覆盆子酮是一种有前途的替代生产方法。目前,已通过转录组测序及体外酶学表征鉴定了覆盆子中Ⅲ型聚酮合酶-亚苄基丙酮合酶(Benzalacetone synthase,BAS),在大肠杆菌中表达来自烟草的4-香豆酰-CoA连接酶4CL、BAS,通过外源添加对香豆酸,合成亚苄基丙酮(4-hydroxy-benzalacetone),然后在微生物内源的亚苄基丙酮还原酶(Benzalacetone reductase,BAR) 催化下生成覆盆子酮,发酵产量可以达到5 mg/L[43]。Lee等通过在酵母中引入苯丙氨酸裂解酶(PAL)、肉桂酸4-羟化酶(C4H),进一步筛选4CL、BAS,首次实现覆盆子酮在酿酒酵母中的从头合成,产量达到3.5 mg/L[44]。Wang等通过在大肠杆菌中表达4CL、BAS以及从植物中筛选高效的覆盆子酮合酶(Raspberry ketone/zingerone synthase,RZS1)/BAR,外源添加对香豆酸,在大肠杆菌中合成覆盆子酮,进一步优化酶的表达,覆盆子酮产量可以达到91 mg/L,见图 8[45]。
![]() |
| 图 8 覆盆子酮生物合成 Fig. 8 Biosynthesis of raspberry ketone. 4CL: 4-coumarate-CoA ligase; BAS: benzalacetone synthase; BAR: benzalacetone reductase. |
随着消费观念的改变和环保意识的增强,人们对于香料中香气质量与纯净度的要求不断提高,对天然香料的需求不断增加。近年来,系统生物学、代谢工程及合成生物学技术快速发展,利用微生物转化法以葡萄糖为原料合成天然芳香族香料化合物已经取得较大进展,从途径解析、人工合成途径创建到代谢调控等方面已取得很多重要的研究成果,有的已经进入产业化实施阶段,但是总的来讲,实现微生物异源合成的芳香族香料化合物的数量还较少,菌种发酵的滴度及转化率低。为解决上述问题,可以从以下几方面开展研究,以进一步推动微生物合成法应用于芳香族香料化合物生产:(1) 应用基因组学、蛋白质组学和代谢组学分析手段,加快芳香族化合物生物合成途径的解析,尤其是后修饰新酶的发现,将较大促进合成芳香族香料化合物的细胞工厂种类增多;(2) 结合计算生物学、定向进化等技术,提高生物合酶如Ⅲ型聚酮合酶的活性及底物宽泛性,进一步提升目标化合物产量,并拓展合成化合物的种类;(3) 芳香族香料化合物对细胞往往具有毒性,抑制细胞生长,目前主要通过原位萃取减少发酵液中的产物含量,减少对细胞生长的影响,可通过适应进化,提高宿主细胞对芳香族香料化合物的耐受性;(4) 构建对宿主细胞毒性低的前体化合物细胞工厂,实现前体的高效合成,进一步结合静息全细胞转化或者化学合成工艺,达到降低目标产品生产成本的目的;(5) 拓展底盘的种类,提升合成目标化合物的效率及滴度。
| [1] |
Averesch NJH, Kromer JO. metabolic engineering of the shikimate pathway for production of aromatics and derived compounds-present and future strain construction strategies. Front Bioeng Biotechnol, 2018, 6: 32. DOI:10.3389/fbioe.2018.00032
|
| [2] |
Horvat M, Fiume G, Fritsche S, et al. Discovery of carboxylic acid reductase (CAR) from Thermothelomyces thermophila and its evaluation for vanillin synthesis. J Biotechnol, 2019, 304: 44-51. DOI:10.1016/j.jbiotec.2019.08.007
|
| [3] |
Yang HL, Barros-Rios J, Kourteva G, et al. A re-evaluation of the final step of vanillin biosynthesis in the orchid Vanilla planifolia. Phytochemistry, 2017, 139: 33-46. DOI:10.1016/j.phytochem.2017.04.003
|
| [4] |
Banerjee G, Chattopadhyay P. Vanillin biotechnology: the perspectives and future. J Sci Food Agric, 2019, 99(2): 499-506. DOI:10.1002/jsfa.9303
|
| [5] |
Yoon SH, Li C, Lee YM, et al. Production of vanillin from ferulic acid using recombinant strains of Escherichia coli. Biotechnol Bioproc Eng, 2005, 10(4): 378-384. DOI:10.1007/BF02931859
|
| [6] |
Yoon HL, Li C, Kim JE, et al. Production of vanillin by metabolically engineered Escherichia coli. Biotechnol Lett, 2005, 27(22): 1829-1832. DOI:10.1007/s10529-005-3561-4
|
| [7] |
Furuya T, Miura M, Kuroiwa M, et al. High-yield production of vanillin from ferulic acid by a coenzyme-independent decarboxylase/oxygenase two-stage process. New Biotechnol, 2015, 32(3): 335-339. DOI:10.1016/j.nbt.2015.03.002
|
| [8] |
Fleige C, Meyer F, Steinbüchel A. metabolic engineering of the actinomycete Amycolatopsis sp. strain ATCC 39116 towards enhanced production of natural vanillin. Appl Environ Microbiol, 2016, 82(11): 3410-3419. DOI:10.1128/AEM.00802-16
|
| [9] |
Li K, Frost JW. Synthesis of vanillin from glucose. J Am Chem Soc, 1998, 120(40): 10545-10546. DOI:10.1021/ja9817747
|
| [10] |
Hansen EH, Møller BL, Kock GR, et al. De novo biosynthesis of vanillin in fission yeast (Schizosaccharomyces pombe) and baker's yeast (Saccharomyces cerevisiae). Appl Environ Microbiol, 2009, 75(9): 2765-2774. DOI:10.1128/AEM.02681-08
|
| [11] |
Brochado AR, Matos C, Møller BL, et al. Improved vanillin production in baker's yeast through in silico design. 2010, Microb Cell Fact, 2010, 9: 84.
|
| [12] |
Kunjapur AM, Prather KLJ. Development of a vanillate biosensor for the vanillin biosynthesis pathway in E. coli.. ACS Synth Biol, 2019, 8(9): 1958-1967. DOI:10.1021/acssynbio.9b00071
|
| [13] |
Bai YF, Yin H, Bi HP, et al. De novo biosynthesis of gastrodin in Escherichia coli. metab Eng, 2016, 35: 138-147. DOI:10.1016/j.ymben.2016.01.002
|
| [14] |
王钦宏, 陈五九, 江小龙, 等. 生产3-脱氢莽草酸大肠杆菌重组菌株及其构建方法与应用: 中国, 107619817A. 2018-01-23.
Wang QH, Chen WJ, Jiang XL, et al. Escherichia coli recombinant bacterial strain for producing 3-dehydroshikimic acid as well as establishment method and application thereof: CN, 107619817A. 2018-01-23 (in Chinese). |
| [15] |
Li LP, Tu R, Song GT, et al. Development of a synthetic 3-dehydroshikimate biosensor in Escherichia coli for metabolite monitoring and genetic screening. ACS Synth Biol, 2019, 8(2): 297-306. DOI:10.1021/acssynbio.8b00317
|
| [16] |
Tu R, Li LP, Yuan HL, et al. Biosensor-enabled droplet microfluidic system for the rapid screening of 3-dehydroshikimic acid produced in Escherichia coli. J Ind Microbiol Biotechnol, 2020, 47(12): 1155-1160. DOI:10.1007/s10295-020-02316-1
|
| [17] |
Li ZC, Li YJ, Chen WJ, et al. Integrating MS1 and MS2 scans in high-resolution parallel reaction monitoring assays for targeted metabolite quantification and dynamic 13C-labeling metabolism analysis. Anal Chem, 2017, 89(1): 877-885. DOI:10.1021/acs.analchem.6b03947
|
| [18] |
Hua DL, Xu P. Recent advances in biotechnological production of 2-phenylethanol. Biotechnol Adv, 2011, 29(6): 654-660. DOI:10.1016/j.biotechadv.2011.05.001
|
| [19] |
Martínez-Avila O, Sánchez A, Font X, et al. Bioprocesses for 2-phenylethanol and 2-phenylethyl acetate production: current state and perspectives. Appl Microbiol Biotechnol, 2018, 102(23): 9991-10004. DOI:10.1007/s00253-018-9384-8
|
| [20] |
Etschmann M, Bluemke W, Sell D, et al. Biotechnological production of 2-phenylethanol. Appl Microbiol Biotechnol, 2002, 59(1): 1-8. DOI:10.1007/s00253-002-0992-x
|
| [21] |
王成涛, 孙宝国, 曹雁平, 等. 酵母菌转化生产天然香料2-苯乙醇的研究. 现代化工, 2008, 28(8): 38-41, 43.
Wang CT, Sun BG, Cao YP, et al. Biosynthesis of natural 2-phenylethanol by yeast cells. Mod Chem Ind, 2008, 28(8): 38-41, 43 (in Chinese). DOI:10.3321/j.issn:0253-4320.2008.08.008 |
| [22] |
Wang H, Dong QF, Guan A, et al. Synergistic inhibition effect of 2-phenylethanol and ethanol on bioproduction of natural 2-phenylethanol by Saccharomyces cerevisiae and process enhancement. J Biosci Bioeng, 2011, 112(1): 26-31. DOI:10.1016/j.jbiosc.2011.03.006
|
| [23] |
Kim TY, Lee SW, Oh MK. Biosynthesis of 2-phenylethanol from glucose with genetically engineered Kluyveromyces marxianus. Enzyme Microb Technol, 2014, 61-62: 44-47. DOI:10.1016/j.enzmictec.2014.04.011
|
| [24] |
Guo DY, Zhang LH, Kong SJ, et al. metabolic engineering of Escherichia coli for production of 2-phenylethanol and 2-phenylethyl acetate from glucose. J Agric Food Chem, 2018, 66(23): 5886-5891. DOI:10.1021/acs.jafc.8b01594
|
| [25] |
Machas MS, McKenna R, Nielsen DR. Expanding upon styrene biosynthesis to engineer a novel route to 2-phenylethanol. Biotechnol J, 2017, 12(10): 1700310. DOI:10.1002/biot.201700310
|
| [26] |
Vannelli T, Qi WW, Sweigard J, et al. Production of p-hydroxycinnamic acid from glucose in Saccharomyces cerevisiae and Escherichia coli by expression of heterologous genes from plants and fungi. metab Eng, 2007, 9(2): 142-151. DOI:10.1016/j.ymben.2006.11.001
|
| [27] |
Bang HB, Lee YH, Kim SC, et al. metabolic engineering of Escherichia coli for the production of cinnamaldehyde. Microb Cell Fact, 2016, 15: 16. DOI:10.1186/s12934-016-0415-9
|
| [28] |
Gottardi M, Knudsen JD, Prado L, et al. De novo biosynthesis of trans-cinnamic acid derivatives in Saccharomyces cerevisiae. Appl Microbiol Biotechnol, 2017, 101(12): 4883-4893. DOI:10.1007/s00253-017-8220-x
|
| [29] |
Pan H, Kong SJ, Fu X, et al. De novo biosynthesis of cinnamyl acetate in engineered Escherichia coli. Biochem Eng J, 2020, 164: 107796. DOI:10.1016/j.bej.2020.107796
|
| [30] |
Trotman RJ, Camp CE, Ben-Bassat A, et al. Calcium alginate bead immobilization of cells containing tyrosine ammonia lyase activity for use in the production of p-hydroxycinnamic acid. Biotechnol Prog, 2007, 23(3): 638-644.
|
| [31] |
Rodriguez A, Kildegaard KR, Li MJ, et al. Establishment of a yeast platform strain for production of p-coumaric acid through metabolic engineering of aromatic amino acid biosynthesis. metab Eng, 2015, 31: 181-188. DOI:10.1016/j.ymben.2015.08.003
|
| [32] |
Liu QL, Yu T, Li XW, et al. Rewiring carbon metabolism in yeast for high level production of aromatic chemicals. Nat Commun, 2019, 10(1): 4976. DOI:10.1038/s41467-019-12961-5
|
| [33] |
Bourgaud F, Hehn A, Larbat R, et al. Biosynthesis of coumarins in plants: a major pathway still to be unravelled for cytochrome P450 enzymes. Phytochem Rev, 2006, 5(2/3): 293-308. DOI:10.1007/s11101-006-9040-2
|
| [34] |
Yang SM, Shim GY, Kim BG, et al. Biological synthesis of coumarins in Escherichia coli. Microb Cell Fact, 2015, 14: 65. DOI:10.1186/s12934-015-0248-y
|
| [35] |
Lin YH, Shen XL, Yuan QP, et al. Microbial biosynthesis of the anticoagulant precursor 4-hydroxycoumarin. Nat Commun, 2013, 4: 2603. DOI:10.1038/ncomms3603
|
| [36] |
Shen XL, Mahajani M, Wang J, et al. Elevating 4-hydroxycoumarin production through alleviating thioesterase-mediated salicoyl-CoA degradation. metab Eng, 2017, 42: 59-65. DOI:10.1016/j.ymben.2017.05.006
|
| [37] |
Achkar J, Xian M, Zhao HM, et al. Biosynthesis of phloroglucinol. J Am Chem Soc, 2005, 127(15): 5332-5333. DOI:10.1021/ja042340g
|
| [38] |
Zha WJ, Rubin-Pitel SB, Shao ZY, et al. Improving cellular malonyl-CoA level in Escherichia coli via metabolic engineering. metab Eng, 2009, 11(3): 192-198. DOI:10.1016/j.ymben.2009.01.005
|
| [39] |
Rao GD, Lee JK, Zhao HM. Directed evolution of phloroglucinol synthase PhlD with increased stability for phloroglucinol production. Appl Microbiol Biotechnol, 2013, 97(13): 5861-5867. DOI:10.1007/s00253-013-4713-4
|
| [40] |
Zhang RB, Liu W, Cao YJ, et al. An in vitro synthetic biosystem based on acetate for production of phloroglucinol. BMC Biotechnol, 2017, 17(1): 66. DOI:10.1186/s12896-017-0376-z
|
| [41] |
Yu SZ, Guo LW, Zhao LY, et al. metabolic engineering of E. coli for producing phloroglucinol from acetate. Appl Microbiol Biotechnol, 2020, 104(18): 7787-7799. DOI:10.1007/s00253-020-10591-2
|
| [42] |
Wu SQ, Watanabe N, Mita S, et al. The key role of phloroglucinol O-methyltransferase in the biosynthesis of Rosa chinensis volatile 1, 3, 5-trimethoxybenzene. Plant Physiol, 2004, 135(1): 95-102. DOI:10.1104/pp.103.037051
|
| [43] |
Beekwilder J, Van der Meer IM, Sibbesen O, et al. Microbial production of natural raspberry ketone. Biotechnol J, 2007, 2(10): 1270-1279. DOI:10.1002/biot.200700076
|
| [44] |
Lee D, Lloyd NDR, Pretorius IS, et al. Heterologous production of raspberry ketone in the wine yeast Saccharomyces cerevisiae via pathway engineering and synthetic enzyme fusion. Microb Cell Fact, 2016, 15: 49. DOI:10.1186/s12934-016-0446-2
|
| [45] |
Wang CC, Zheng P, Chen PC. Construction of synthetic pathways for raspberry ketone production in engineered Escherichia coli. Appl Microbiol Biotechnol, 2019, 103(9): 3715-3725. DOI:10.1007/s00253-019-09748-5
|














