
巴斯夫始创于1865年,为全球第一大化学品公司、第三大农药公司,旗下拥有表面处理技术、材料、化学品、工业解决方案、农业解决方案、营养与护理等六大业务领域。
巴斯夫现代植保业务起源于20世纪40年代,最初推出苯氧类除草剂,继而陆续上市了多个杀菌剂,如代森联、氟环唑、醚菌酯、吡唑醚菌酯、氟唑菌酰胺等,为杀菌剂发展打下坚实基础。
巴斯夫植保业务发展,基本依靠有机增长,也完成了多起收购。尤其是2018年,巴斯夫以76亿欧元收购了拜耳剥离的部分业务,从此迈入种子和非选择性除草剂市场。由于业务扩充,巴斯夫将其作物保护业务部更名为农业解决方案部,该部新成立了种子和性状全球业务部门。公司农业战略也因此发生转移,从单一聚焦农药,到同时发力农药、种子及数字农业市场,从而为种植者提供完整的农业服务。
1 销售业绩
2020年,巴斯夫包括农药和种子在内的农业解决方案部实现销售额76.60亿欧元。其中,农药销售额为61.65亿欧元,占80.5%;种子和性状业务销售额14.95亿欧元,占19.5%。
巴斯夫农药业务中,除草剂为最重要产品类型,2020年销售额24.64亿欧元,占公司农药销售额39.97%;杀菌剂销售额22.67亿欧元,占36.77%;杀虫剂销售额8.25亿欧元,占13.38%;种子处理剂销售额6.09亿欧元,占9.88%。
2020年,北美是巴斯夫农业解决方案部最大的地区市场,销售额30.04亿欧元,占公司该部销售额的39.22%;欧洲次之,销售额20.35亿欧元,占26.57%;南美、非洲和中东地区的销售额17.77亿欧元,占23.20%;亚洲的销售额8.44亿欧元,占11.02%。
2 最新研发上市的重点产品
新农药创制是一项复杂艰难的系统工程。巴斯夫统计数据表明,成功上市一个新化合物,平均要筛选14万个化合物,耗时10年,需资2.00亿欧元;Phillips McDougall公司调研数据显示,近年来,新农药研发成本增至2.86亿美元,平均筛选16万个化合物,历时11.3年。总之,随着农药管理要求的不断升级,新农药创制难度越来越大。
巴斯夫农业战略基础在于创新,公司在研发领域持续高投入。2019年10月,巴斯夫宣布其发展计划,至2030年,公司农业解决方案部的销售额将增长50%。为此,公司量化了一系列举措,研发投入便是其中之一。2020年,巴斯夫农业解决方案部共投入8.4亿欧元用于研发,约占该部销售额11%。
创新为巴斯夫带来可持续增长,同时,公司将可持续发展理念贯穿于所有业务和投资组合决策。在整个研发过程中,巴斯夫严格遵循可持续性标准,确保开发能够使种植户和环境都受益的化合物。
近年来,巴斯夫不断推出新的产品系列,丰富新的产品管线。如最近上市的双丙环虫酯、氯氟醚菌唑、溴虫氟苯双酰胺、三氟草嗪、环庚草醚等;未来几年还将推出除草剂系列BAS 822H、BAS 625H,杀虫剂系列嗪虫唑酰胺、BAS 5501、BAS 5601,杀菌剂系列ipfentrifluconazole、metyltetraprole,性状及功能性解决方案 Provisia,生物解决方案等。
巴斯夫当前创新管线中包含了多个将在未来10年推出的解决方案,从而有助于公司实现可持续农业发展目标,即每年将可持续发展农业解决方案销售份额提高7%。至2030年底,巴斯夫30多个主要研发项目将提升其在种子和种子处理产品、化学和生物解决方案以及数字化服务等方面的整体方案实力,峰值销售潜力预计将超过75亿欧元。
2.1 杀菌剂
在杀菌剂领域,巴斯夫打造了多个重磅产品,如氟环唑、吡唑醚菌酯和氟唑菌酰胺等;2018年上市的氯氟醚菌唑有望实现超过10.00亿欧元的年峰值销售额。
2.1.1 氯氟醚菌唑
2.1.1.1 作用机理及应用
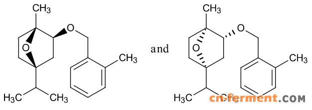
英文通用名:mefentrifluconazole;开发代号:BAS 750F;商品名:Revysol®、锐收®等。氯氟醚菌唑是巴斯夫历时10余年、从4,000多种候选活性分子中筛选而来的新型异丙醇-三唑类杀菌剂。公司完成的290多项研究,全面检验了该产品对人类和环境的安全性。

图1 氯氟醚菌唑的结构式
氯氟醚菌唑为脱甲基化抑制剂(DMI),通过阻止麦角甾醇的生物合成,导致细胞膜坍塌,抑制病菌细胞生长。国际杀菌剂抗性行动委员会(FRAC)将其归类为Group 3中的G1亚组。
氯氟醚菌唑能有效抑制孢子萌发、菌丝生长以及叶片表面真菌孢子的形成。其化合物中的异丙醇基团能使分子旋转灵活,从而与靶标紧密结合。研究表明,氯氟醚菌唑与靶标结合的强度平均比传统三唑类杀菌剂强100多倍。因此,该产品不仅表现出更加卓越的防效,而且还能抑制菌株转移,降低病菌突变,延缓抗性产生,是一款优秀的抗性管理工具。
氯氟醚菌唑广谱、高效、速效,具有内吸性和保护、治疗、铲除作用。能较好地向顶传导,形成“叶内蓄水池”效应,提供稳定长效的保护作用,持效期长达21 d。
氯氟醚菌唑主要用于全球60多种作物,如谷物、玉米、水稻、马铃薯、大豆、果树、蔬菜、棉花、葡萄、油菜、咖啡以及观赏植物、草坪等。有效防治许多真菌病害,如小麦锈病、叶斑病、壳针孢菌引起的病害,水稻稻瘟病、纹枯病、穗腐病,大麦上由柱隔孢菌引起的病害,玉米和大豆上由尾孢菌引起的病害,马铃薯和坚果树上由链格孢菌引起的病害,苹果树黑星病,葡萄白粉病,甜菜褐斑病等。叶面喷雾、种子处理均可;具有优异的桶混灵活性。
氯氟醚菌唑对作物安全,使用适期宽;药后很快被植物吸收,拥有较好的耐雨水冲刷和抗逆性。
氯氟醚菌唑拥有较好的环境特性,先后获得欧盟、美国、澳洲等绿色、安全等级认证,符合现行全球农药管理的最高标准。其对哺乳动物无内分泌干扰作用,无致畸、致癌和生殖毒性,无神经毒性和遗传毒性;对无脊椎动物不敏感;对蜜蜂毒性较低,对蚯蚓无毒,对水生生物几乎无毒。其水溶性、挥发性均低,吸附力强,不会通过淋溶进入地下水。
2.1.1.2 登记和上市
巴斯夫计划在全球50多个国家登记和上市氯氟醚菌唑,用于60多种作物。该产品现已在韩国、欧盟、美国、中国等许多国家和地区取得登记和上市。
氯氟醚菌唑产品的主要剂型有:悬浮剂(SC)、乳油(EC)、种子处理悬浮剂(FS)等;登记产品包括单剂及其与吡唑醚菌酯、氟唑菌酰胺等的复配产品。
2018年12月,巴斯夫开始在其美国密苏里州Hannibal生产厂生产氯氟醚菌唑。
(1)韩国和哥伦比亚
2018年初,韩国登记了氯氟醚菌唑产品,同年上市,商品名为Revysol。这一年,氯氟醚菌唑(商品名:Belanty)还在哥伦比亚登记,2019年上市。
(2)欧盟
2019年3月20日,氯氟醚菌唑在欧盟获准登记;现已在欧盟21个成员国取得登记。其100 g/L氯氟醚菌唑EC防治谷物锈病、叶斑病以及由壳针孢菌引起的病害等,继而将进一步扩作至果树、蔬菜、玉米、油菜、葡萄等。2020年8月,德国批准登记了Balaya(氯氟醚菌唑+吡唑醚菌酯),防治大麦和小麦上从发芽初期至始花期的所有主要叶部和穗部病害。
(3)美国
2017年,巴斯夫向美国、加拿大、墨西哥申请了氯氟醚菌唑产品的联合登记。2019年6月26日,氯氟醚菌唑作为减风险农药在美国获准登记。这一天,同时获准登记的产品有10个,包括:98.5%氯氟醚菌唑原药,Cevya、Lenvyor、Maxtima、Provysol、Relenya(氯氟醚菌唑),Intrinsic、Navicon Veltyma(氯氟醚菌唑+吡唑醚菌酯),Mibelya(氯氟醚菌唑+氟唑菌酰胺),Revytek(氯氟醚菌唑+氟唑菌酰胺+吡唑醚菌酯)。2020年5月13日,Avelyo(氯氟醚菌唑)在美国获准登记。这些产品几乎覆盖了各作物上的主要病害。
(4)加拿大
2019年10月25日,加拿大有害生物管理局(PMRA)登记了98.5%氯氟醚菌唑原药及6个氯氟醚菌唑制剂产品。其中,包括4个单剂Lenvyor、Cevya、Maxtima、Relenya,2个复配产品BAS 752 RC(氯氟醚菌唑+氟唑菌酰胺)、Belyan(氯氟醚菌唑+吡唑醚菌酯+氟唑菌酰胺)。2021年6月21日,巴斯夫在加拿大登记了Veltyma(氯氟醚菌唑+吡唑醚菌酯)。
(5)澳大利亚和新西兰
2019年6月11日和7月1日,巴斯夫氯氟醚菌唑原药和Belanty(75.0 g/L氯氟醚菌唑SC)先后在澳大利亚取得登记。Belanty防治苹果树黑星病、葡萄白粉病,2020年上市。
2020年3月,新西兰环保局批准进口和销售Revystar(氯氟醚菌唑+氟唑菌酰胺),防治谷物白粉病、叶锈病、条锈病、叶斑病、网斑病等。
(6)英国
2019年6月25日和9月23日,英国先后登记了巴斯夫的Myresa和Revystar XE;目前,巴斯夫共有9个氯氟醚菌唑产品在英国取得登记,包括Lenvyor Duo、Myresa(氯氟醚菌唑),Diadem XE、Mivyto XE、Provyto XE、Revystar XE、Verydor XE、Aderya XE、Lentyma XE(氯氟醚菌唑+氟唑菌酰胺),这些产品皆用于谷物。
(7)中国
巴斯夫计划在中国14种作物的16个靶标上登记氯氟醚菌唑产品。2020年1月7日,巴斯夫欧洲公司在我国登记了4个氯氟醚菌唑产品,分别为:97%氯氟醚菌唑原药、400 g/L氯氟醚菌唑SC(锐收®)、400 g/L氯氟醚·吡唑酯SC(锐收果香®)、240 g/L氯氟醚·吡唑酯EC(锐收谷瑞®)。这些产品于2020年上市,拉开了锐收®在亚太地区上市的序幕。
锐收®防治番茄、马铃薯早疫病,香蕉叶斑病,黄瓜白粉病、靶斑病,苹果褐斑病,葡萄、柑橘树、芒果树炭疽病等。锐收果香®防治番茄、马铃薯早疫病,葡萄、柑橘树、芒果树炭疽病,西瓜白粉病,黄瓜白粉病、靶斑病,苹果树斑点落叶病、褐斑病,香蕉树叶斑病等。锐收谷瑞®防治小麦白粉病、玉米大斑病、花生褐斑病。
巴斯夫还将推出锐收佳美®,这是一款面向水稻、果树及蔬菜应用的锐收®系列产品。
2.1.1.3 化合物专利
氯氟醚菌唑是巴斯夫开发的新型专利杀菌剂。其PCT、欧洲化合物专利分别为:WO2013007767A1、EP2731935B1,两专利申请于2012年7月12日,2032年7月11日到期。2012年7月12日,巴斯夫农业公司在我国申请了氯氟醚菌唑的化合物专利(CN103649057B);发明名称为:杀真菌的取代的2-[2-卤代烷基-4-苯氧基苯基]-1-[1,2,4]-三唑-1-基乙醇化合物;2032年7月11日,此专利保护期满。
2.2 杀虫剂
在杀虫剂领域,巴斯夫也加大了研究和开发力度,近年来上市了多个新产品,其市场增长潜力很大。
2.2.1 双丙环虫酯
双丙环虫酯是近年来巴斯夫推出的重要杀虫剂,主要防治刺吸式口器害虫,其与公司最近推出的主要防治鳞翅目害虫杀虫剂溴虫氟苯双酰胺交相辉映,有力提升了公司在杀虫剂市场的地位。
作为拥有独特化学结构的生物源农药,双丙环虫酯以其新颖的作用机理及优秀的产品性能,正赢得越来越多市场认可,预计其年峰值销售额将达5.00亿美元。
2.2.1.1 作用机理及应用
双丙环虫酯是由日本北里研究所与日本明治制果药业株式会社共同研发。2010年,巴斯夫与明治制果达成协议,共同开发双丙环虫酯产品。根据协议,巴斯夫获得了双丙环虫酯在除韩国、中国台湾、日本之外的全球市场的开发和销售专有权,明治制果则保留了这些市场的开发权。
双丙环虫酯(通用名:afidopyropen;开发代号:ME5343;商品名:Inscalis®、Versys™、英威®等)通过天然真菌粪生青霉(Penicillium coprobium)发酵而成,其独特的丙烯类(pyropenes)化学结构赋予产品新颖的作用机理。

图2 双丙环虫酯的结构式
双丙环虫酯通过干扰昆虫香草酸瞬时受体通道复合物的调控,致使昆虫对重力、运动、平衡、声音、位置等协调性丧失,进而不能取食,饥饿而亡。
国际杀虫剂抗性行动委员会(IRAC)将双丙环虫酯归类Group 9中的9D亚组(同翅目昆虫摄食阻滞剂)。目前,9D亚组中仅该有效成分。因此,其与现有杀虫剂无交互抗性,是优秀的抗性管理工具。
双丙环虫酯高效、广谱,无内吸性,渗透性强,快速停止害虫取食,降低媒介昆虫传播病害;具有优异的杀虫效果;持效期长,对蚜虫的持效作用长达21 d;对害虫的多种虫态有效(对卵无效),推荐在幼虫阶段用药,防效更好;其剂型独特,耐雨水冲刷;有助于作物健康,提高作物产量和质量。
双丙环虫酯广泛用于经济作物(如果蔬、葡萄等)、大田作物(如大豆、马铃薯、谷物、棉花等),以及观赏植物等,防治蚜虫、粉虱、木虱、介壳虫、粉蚧、叶蝉等刺吸式和吮吸式口器害虫。叶面处理、种子处理、土壤处理均可。
双丙环虫酯适用于防治易产生抗药性的害虫,如桃树蚜虫、棉花棉蚜等;对有机磷类、新烟碱类等杀虫剂产生抗性的害虫也能提供很好的防治效果。
双丙环虫酯对环境友好。其对有益节肢动物的急性毒性低,对昆虫天敌毒性小,对哺乳动物、鱼、鸟类、捕食性昆虫低毒,对蜜蜂安全。
2.2.1.2 登记和上市
2018年,澳大利亚率先登记和上市了巴斯夫的双丙环虫酯产品;目前,该产品也已在印度、美国、加拿大、中国等国登记和上市,并已在墨西哥、阿根廷等国申请登记。
双丙环虫酯的登记产品既有单剂,也有复配产品;既有可分散液剂(DC),也有乳油(EC)。
2017年12月,巴斯夫扩大了法国Saint-Aubin-lès-Elbeuf生产厂的生产,用于生产双丙环虫酯。
(1)澳大利亚
2018年4月18日,澳大利亚农药和兽药管理局(APVMA)批准登记了巴斯夫双丙环虫酯原药和100 g/L双丙环虫酯DC(商品名:Versys™)。这是双丙环虫酯在全球的首个登记;同年,在澳大利亚上市。Versys™用于防治大麦、小麦、蔬菜、马铃薯、棉花、油菜、草莓、甜玉米等作物上的蚜虫,并对烟粉虱有抑制作用。当Versys™用于防治烟粉虱时,加入Hasten喷雾助剂(0.2%,V/V)有助于提高击倒速度和总体防效。
(2)印度
2018年6月,印度批准登记Sefina®(双丙环虫酯),用于棉花和蔬菜等,防治叶蝉、粉虱等;同年上市。
(3)美国
2016年4月,巴斯夫向美国和加拿大提交了双丙环虫酯的登记资料,用于联合评审。2018年9月10日,美国环保署(EPA)批准登记了巴斯夫4个双丙环虫酯产品,其中包括原药及3个制剂产品(Versys™、Sefina®、Ventigra®);2020年1月22日,双丙环虫酯与顺式氯氰菊酯的复配产品Renestra在美国获准登记。期间,也有一些制剂获准扩作。
(4)加拿大
2018年11月29日,巴斯夫在加拿大登记了3个双丙环虫酯产品:95.4%双丙环虫酯原药;50 g/L双丙环虫酯EC(Sefina™),用于大豆、马铃薯、高粱等;100 g/L双丙环虫酯EC(Versys™),用于蔬菜、葫芦、梨果、核果等。2019年1月9日,加拿大登记了100 g/L双丙环虫酯EC(Ventigra™),用于观赏植物(针叶树除外)。
(5)中国
2019年1月30日,巴斯夫欧洲公司在我国登记了3个双丙环虫酯产品:92.5%双丙环虫酯原药、50 g/L双丙环虫酯DC(英威®)、75 g/L阿维菌素·双丙环虫酯DC(英雷®)。2019年,英威®和英雷®在我国上市。
英威®防治番茄、辣椒烟粉虱,甘蓝、观赏月季、黄瓜、辣椒、棉花、西瓜、小麦、豇豆、苹果树、桃树蚜虫,叶面喷雾。其独特的产品性能和加工剂型可有效降低药剂飘移,提高产品药效(4倍于SC和EC),增强药剂在叶片中的跨膜传导和向顶传导的能力。
英雷®防治番茄、辣椒、黄瓜(保护地)烟粉虱,甘蓝、黄瓜蚜虫,叶面喷雾。产品中复配的两种有效成分具有协同增效作用,其双重作用机理更有助于防治抗性烟粉虱等。
(6)巴基斯坦
2021年,巴斯夫与Engro Fertilizers达成战略合作协议,在巴基斯坦共同推出Sefina™(双丙环虫酯)。该产品在巴基斯坦登记用于棉花和蔬菜,防治粉虱、蚜虫、叶蝉等。
2.2.1.3 化合物专利
双丙环虫酯是一个新型专利产品,其化合物专利由明治制果和北里研究所共同申请;发明名称:Pest Control Agent。其PCT专利(WO2008066153)、美国专利(US2011195998)申请于2007年11月30日,2027年11月30日专利期满;未查到同族中国专利;欧洲专利(EP2107060)申请于2007年11月30日,2027年11月29日专利期满。
2.2.2 溴虫氟苯双酰胺
近年来,双酰胺类杀虫剂市场增长很快,并已超越传统杀虫剂。双酰胺类杀虫剂通常是指邻二酰胺类产品,如氯虫苯甲酰胺、氟苯虫酰胺等。最近,间二酰胺类杀虫剂异军突起,引发市场高度关注。其中的溴虫氟苯双酰胺拥有重磅潜质,年峰值销售额预计将达8.50亿美元。
2.2.2.1 作用机理及应用
溴虫氟苯双酰胺[通用名:broflanilide;开发代号:MCI-8007、BAS 45006I;商品名:Teraxxa™、格力高®(巴斯夫),Tenebenal®、腾蓓™(三井化学)等]是三井化学AGRO株式会社发现、三井化学和巴斯夫共同开发的间二酰胺类(或间苯甲酰氨基苯甲酰胺类)杀虫剂,是防治鳞翅目害虫及抗性害虫的重要利器。

图3 溴虫氟苯双酰胺的结构式
在昆虫的神经系统中,兴奋信号与抑制信号的平衡维系着昆虫的正常行为。溴虫氟苯双酰胺为γ-氨基丁酸(GABA)门控氯离子通道别构调节剂(allosteric modulators),其键合到昆虫GABA受体上亚基间别构位点,抑制神经传递,阻隔昆虫的抑制信号,打破昆虫神经系统的平衡状态,导致昆虫持续兴奋,抽搐,直至死亡。
溴虫氟苯双酰胺被IRAC划归至第30组,这是进入此组中的第1个有效成分,另一有效成分为日产化学的异噁唑啉类杀虫剂氟噁唑酰胺(fluxametamide)。因此,溴虫氟苯双酰胺与现有上市的杀虫剂无交互抗性,是优秀的抗性管理工具,并因此获得了日本农药学会的发明成果奖。
溴虫氟苯双酰胺高效,广谱,具有胃毒、触杀、渗透作用,无内吸性,具有良好的速效性、持效性,耐雨水冲刷。用于果树、蔬菜、大豆、棉花、玉米、水稻、谷物、马铃薯及非作物领域等,对鳞翅目(小菜蛾、草地贪夜蛾、棉铃虫、斜纹夜蛾、甜菜夜蛾等)、鞘翅目(小猿叶甲、黄曲条跳甲等)、蓟马类害虫等高效;种子处理可防治谷物金针虫等;还用于卫生害虫的防治,如白蚁、蚂蚁、蜚蠊、苍蝇、蚊子等。
2.2.2.2 登记和上市
2014年,巴斯夫和三井化学达成了共同开发溴虫氟苯双酰胺的合作协议;2017年12月,两公司签署了关于溴虫氟苯双酰胺商业化的长期协议。根据协议,巴斯夫获得了在世界范围内独家开发和销售该产品的权利;不过,日本和其他一些市场除外,在这些市场,三井化学仍拥有独家或合作开发的权利。
(1)日本和韩国
2018年3月,三井化学的溴虫氟苯双酰胺率先在日本登记,防治白蚁,次年上市。2020年在韩国上市了用于农药领域的产品。2020年9月,日本登记了三井化学的溴虫氟苯双酰胺产品Brofreya SC,防治大田作物及蔬菜上的叶甲及抗性鳞翅目害虫等;次年在日本上市。
(2)澳大利亚
2019年12月19日,巴斯夫的溴虫氟苯双酰胺原药在澳大利亚获准登记。2020年7月1日,巴斯夫的6个溴虫氟苯双酰胺制剂产品在澳大利亚取得登记;2021年7月1日,另1个溴虫氟苯双酰胺制剂产品在该国登记。在登记的7个制剂产品中,有3个气雾剂和4个饵剂。这些产品主要用于庭院、商业建筑、工业建筑、公共服务建筑等,防治蚂蚁、苍蝇、蜚蠊、白蚁等卫生害虫。
(3)美国
2021年1月14日,美国环保署(EPA)登记了13个溴虫氟苯双酰胺产品,除99.69%原药由三井化学登记外,其余12个制剂产品皆由巴斯夫登记。制剂产品包括10个单剂以及2个复配产品,复配产品为PT® Vedira(溴虫氟苯双酰胺+顺式氯氰菊酯)、Teraxxa F4(溴虫氟苯双酰胺+氟唑菌酰胺+吡唑醚菌酯+灭菌唑+甲霜灵)。其中的Teraxxa F4为五元复配种子处理杀虫杀菌剂,非常广谱,主要用于谷物,保护其种子和幼苗免遭种传和土传病害的危害,提高发芽率和整齐度,促进作物健康生长。该产品可整季防治小粒谷物上的金针虫,并能防治网腥黑穗病、根腐病、黑穗病、青霉菌病害、散黑穗病、杆黑粉病、镰刀菌引起的种腐病和苗枯病、腐霉猝倒病、立枯丝核菌引起的根腐病、散黑粉病等。
(4)加拿大
2020年10月15日,三井化学的99.68%溴虫氟苯双酰胺原药以及巴斯夫的3个溴虫氟苯双酰胺制剂产品在加拿大获准登记。这3个制剂产品分别为:Cimegra、Teraxxa(溴虫氟苯双酰胺),Teraxxa F4(溴虫氟苯双酰胺+氟唑菌酰胺+吡唑醚菌酯+灭菌唑+甲霜灵);2021年上市。
(5)中国
2020年12月28日,日本三井化学AGRO株式会社的98%溴虫氟苯双酰胺原药、巴斯夫欧洲公司的100 g/L溴虫氟苯双酰胺SC(格力高®)在我国获准登记。格力高®通过叶面喷雾,防治白菜、甘蓝上的黄条跳甲、小菜蛾。2021年初,格力高®在我国上市。
2021年6月11日,日本三井化学AGRO株式会社在我国登记了5%溴虫氟苯双酰胺SC,通过叶面喷雾,防治甘蓝上的甜菜夜蛾、小菜蛾。该制剂产品分别由中农立华以商品名芙利亚®、江苏龙灯以商品名爱利可多®,于2021年7月在我国上市。
2.2.2.3 化合物专利
溴虫氟苯双酰胺是一个新型专利产品,其PCT、欧洲、中国的化合物专利由三井化学AGRO株式会社申请;发明名称为:酰胺衍生物、含有该酰胺衍生物的有害生物防除剂及其使用方法。其PCT专利(WO2010018714A1)、欧洲专利(EP2319830A1)、中国专利(CN102119143A)皆申请于2009年6月30日,2029年6月29日专利到期。
2.2.3 嗪虫唑酰胺
目前,最热门的杀菌剂是琥珀酸脱氢酶抑制剂(SDHI),其中,领军产品是巴斯夫研发的氟唑菌酰胺,该分子中含有独特的吡唑-4-甲酰胺基团,这类化学结构的产品现已成为SDHI类杀菌剂中的重要分支,是推动SDHI类杀菌剂实现快速增长的重要力量。
然而,含吡唑-4-甲酰胺基团的化合物不仅具有杀菌活性,还有杀虫作用,巴斯夫即将推出的全新杀虫剂嗪虫唑酰胺即为其中一员。
一般地,吡唑酰胺类杀虫剂的羧基连接在5位上,然而,巴斯夫通过长期研究后发现的嗪虫唑酰胺,将羧基落子在4位,并在N原子上引入哒嗪基团,从而赋予产品广谱的杀虫活性和优秀的内吸传导性,尤其在刺吸式口器害虫防治上或将担纲重要角色。据Phillips McDougall公司预测,嗪虫唑酰胺的年峰值销售额有望突破1.00亿美元。
2.2.3.1 作用机理及应用
嗪虫唑酰胺(通用名:dimpropyridaz;开发代号:BAS 550 I;商品名:Axalion™)是由巴斯夫研发的拥有新颖作用机理的吡唑甲酰胺类杀虫剂。

图4 嗪虫唑酰胺的结构式
嗪虫唑酰胺具有较好的内吸传导性,主要用于果树和蔬菜、大豆、棉花、谷物、马铃薯等大田作物,以及花卉、观赏植物等,防治鳞翅目(二化螟、甜菜夜蛾、草地贪夜蛾等)、鞘翅目(甲虫、玉米根叶甲、马铃薯叶甲等)、双翅目(蝇、蚊、蔬菜斑潜蝇等)、半翅目(蚜虫、飞虱、木虱、粉虱等)、缨翅目(蓟马等)、等翅目(白蚁等)、蟑螂、蚂蚁等害虫,尤其对蚜虫、粉虱、木虱等刺吸式口器害虫高效。
嗪虫唑酰胺能快速停止害虫取食,减少植物营养损失,阻止病害传播,健康植株,提升作物产量和品质。目前,在IRAC作用机理分类中尚未查到嗪虫唑酰胺。
巴斯夫开展了大量的示范试验,结果表明,Axalion™对土壤和水生生物等环境友好,对传粉昆虫等益虫及鸟类无害。
2.2.3.2 登记和上市
巴斯夫已经开启嗪虫唑酰胺的全球登记工作。2020年底,公司向澳大利亚和韩国提交了登记资料。巴斯夫计划2021年向欧盟、巴西、印度等地区和国家提交该产品的登记资料,未来几年还将在其他主要市场开展登记。该产品有望于2023年在澳大利亚、韩国率先上市,2024年在印度上市,2026年在欧盟上市。
2.2.3.3 化合物专利
嗪虫唑酰胺为专利保护产品,巴斯夫欧洲公司申请了其PCT、欧洲、美国、中国等的化合物专利;发明名称为:Pyrazole Compounds for Controlling Invertebrate Pests(防治无脊椎动物害虫的吡唑化合物)。其PCT专利(WO2010034737)、欧洲专利(EP2342196)、中国专利(CN102224149A)皆申请于2009年9月23日,2029年9月22日专利到期;美国专利(US2011269770)申请于2009年9月23日,2029年9月23日专利期满。
2.3 除草剂
2.3.1 三氟草嗪
三氟草嗪是巴斯夫最近推出的重要除草剂之一,广泛用于大田作物、果树、非农业领域等,防除阔叶杂草和禾本科杂草,是巴斯夫苗前除草剂产品组合中的新成员。三氟草嗪的上市将进一步提升公司在全球除草剂市场的地位。
2.3.1.1 作用机理及应用
三氟草嗪(通用名:trifludimoxazin;开发代号:BAS 850 H;商品名:Tirexor、Vulcarus等)是巴斯夫研发的三嗪酮类除草剂,2014年公开。

图5 三氟草嗪的结构式
三氟草嗪为原卟啉原氧化酶(PPO)抑制剂类除草剂,国际除草剂抗性行动委员会(HRAC)将其归类为第14组。
三氟草嗪具有触杀、速效、持效作用,能被植株的根和叶快速吸收,通过抑制PPO,破坏细胞膜,从而导致杂草死亡。施药后,已出土的敏感杂草在数小时内便产生退绿和坏死症状,3~5 d内杂草死亡;即将出土的敏感杂草,在到达土壤表面或出土后不久即会死亡。
三氟草嗪主要用于谷物、玉米、大豆、花生、蔬菜、果树及非作物领域等,防除黑麦草、藜、豚草、早熟禾、马唐、狐尾草、牛筋草、繁缕、反枝苋、马齿苋、苘麻、猪殃殃、各种自生油菜、野生芥菜等禾本科杂草和阔叶杂草。该产品既为PPO抑制剂,又能防除PPO抗性杂草,甚至包括苋属、豚草属等难治抗性杂草,是重要的抗性管理工具。三氟草嗪也能防除和抑制这些杂草的二次发生。播前、苗前、苗后使用。
巴斯夫指出,三氟草嗪是近20年来首个通过叶面触杀防除禾本科杂草的具有新颖作用机理的除草剂,为作物种植前防除黑麦草提供了新工具。
为了扩大防治谱,巴斯夫开发了三氟草嗪与苯嘧磺草胺的复配产品,两者之间具有协同增效作用;三氟草嗪也可与草甘膦桶混使用,进一步扩大防治谱。据报道,三氟草嗪或将用于巴斯夫正在研发的耐PPO抑制剂类除草剂性状体系。
美国环保署(EPA)评审结果表明,三氟草嗪对人类健康没有风险,但建议采取一定的措施来降低生态风险和抗性风险。
2.3.1.2 登记和上市
三氟草嗪率先在澳大利亚获准登记,继而在加拿大、美国等国取得登记。巴斯夫也已向亚洲、美洲等地区的多个国家提交了登记申请。
(1)澳大利亚
2020年5月28日,澳大利亚农药和兽药管理局(APVMA)批准登记了巴斯夫的三氟草嗪原药;2020年7月1日,巴斯夫基于三氟草嗪的复配产品Voraxor(三氟草嗪+苯嘧磺草胺)在澳大利亚获准登记。这是三氟草嗪在全球的首个登记。2021年在该国上市。
(2)加拿大
2021年1月21日,巴斯夫的99.2%三氟草嗪原药、Vulcarus™(三氟草嗪)、Voraxor™(三氟草嗪+苯嘧磺草胺)在加拿大取得登记;2021年8月10日,巴斯夫的大包装产品Voraxor™ Bulk(三氟草嗪+苯嘧磺草胺)在加拿大获准登记。
(3)美国
2021年5月25日,巴斯夫的99.2%三氟草嗪原药及制剂产品Tirexor(三氟草嗪)在美国取得登记。Tirexor用于大田作物(玉米、蔬菜、花生、小粒谷物、大豆等)、果树、非农领域等,苗前或苗后施药,防除阔叶杂草和禾本科杂草。
2.3.1.3 化合物专利
三氟草嗪是一个专利保护产品,巴斯夫欧洲公司申请了其PCT、欧洲、美国、中国的化合物专利;发明名称为:Herbicidal Benzoxazinones(除草的苯并噁嗪酮类)。其PCT专利(WO2010145992)、欧洲专利(EP2443102A1)、中国专利(CN102459205A)皆申请于2010年6月11日,2030年6月10日期满;美国专利(US2012100991)申请于2010年6月11日,2030年6月11日期满。
2.3.2 环庚草醚
环庚草醚不是新有效成分,只是作为新农药重出江湖,其化合物专利已经过期。环庚草醚原创公司壳牌曾将其首先应用于水稻田,防除禾本科杂草,但因成本较高,市场竞争力不强。如今,随着环庚草醚作用机理的明确,加之农田杂草,尤其是抗性杂草的防治难度越来越大,市场特别需要全新作用机理的除草剂。所以环庚草醚回炉再造后重新定位,是市场发展所需,该产品有望成为巴斯夫谷物田禾本科杂草除草剂产品组合中的重要成员,将会在抗性禾本科杂草防治领域担纲重要角色。
2.3.2.1 作用机理及应用
环庚草醚(通用名:cinmethylin;开发代号:BAS 684 H;商品名:Luximo、Luximax等)是由巴斯夫研发的拥有独特化学结构和新颖作用机理的苄基醚类除草剂,专注防除抗性禾本科杂草。
环庚草醚已几易其主。该产品原由壳牌公司研发,开发代号:SD95481、WL95481。1985年在英国布赖顿会议上报道,1989年由壳牌公司(现巴斯夫)在中国上市,杜邦曾参与该产品的生产和销售。1993年,美国氰胺公司完成对壳牌公司农药部的兼并;2000年,巴斯夫收购了美国氰胺公司。环庚草醚从此归于巴斯夫旗下,现由巴斯夫生产和开发。

图6 环庚草醚的结构式
虽然环庚草醚早在20世纪80年代即有报道,但直至2000年,研究人员才真正明晰了它的作用机理,从而为其在应用上的精准定位提供了理论根据。
环庚草醚为酰基载体蛋白(acyl carrier protein;ACP)脂肪酸硫酯酶(fatty acid thioesterase)选择性抑制剂,通过抑制脂肪酸生物合成,破坏细胞膜,导致杂草死亡。该产品主要通过苗期杂草的芽和根吸收,通过植株向上传导,干扰芽和根生长点中分生组织的生长发育。
2020年,环庚草醚获得了由HRAC给予的自1985年以来第一个新作用机理分类。它是HRAC第30组中的首个有效成分,另一有效成分为methiozolin,两者皆为苄基醚类化合物。据报道,环庚草醚无已知交互抗性,可用于杂草的综合治理。
环庚草醚为苗前除草剂,具有持效作用,对谷物田许多禾本科杂草提供土壤残效防除作用,包括抗性杂草及难以防除的杂草,如大穗看麦娘、黑麦草等,并对一些禾本科杂草提供抑制作用;环庚草醚也可用于防除水稻田重要杂草,如稗属杂草、鸭舌草、异型莎草等,移栽后使用。主要剂型有:乳油、颗粒剂等。为了扩大防治谱,环庚草醚可与阔叶杂草除草剂桶混使用。
研究表明,环庚草醚对黑麦草高效,并提供持效作用。巴斯夫指出,环庚草醚是30余年来防除黑麦草的第一个新作用机理的化合物,对黑麦草提供长达12 w的持效防控作用,包括对现有作用机理除草剂产生抗性的杂草生物型(如D、J、K类)。
根据世界卫生组织(WHO)的毒性分级标准,环庚草醚的正常使用无急性危害。
2.3.2.2 登记和上市
2019年11月14日,巴斯夫的环庚草醚原药在澳大利亚取得登记;2020年7月1日,Luximax(环庚草醚)在澳大利亚取得登记,同年上市。早在2003年11月5日,巴斯夫的环庚草醚原药曾在该国取得登记。
Luximax主要用于小麦田,防除一年生黑麦草、芒属杂草等,抑制雀麦草、野燕麦等禾本科杂草。
目前,环庚草醚尚未在英国、加拿大、美国、中国、欧盟登记。
经查中国农药信息网,我国曾经登记过9个环庚草醚产品。时至2009年11月11日,所有这些产品的登记皆已过期。其中,巴斯夫欧洲公司在我国曾登记过92%环庚草醚原药及100 g/L环庚草醚EC,制剂产品通过毒土法施用,防除水稻移栽田稗草、鸭舌草、异型莎草。
据业内专家介绍,当年巴斯夫的环庚草醚在我国开展了多年试验示范,使用技术成熟,安全性、药效均好,但因为价格较高,淡出了中国市场。近年来,巴斯夫又开始在我国开展试验,计划重返中国市场。
3 即将上市的新产品
3.1 杀菌剂
3.1.1 ipfentrifluconazole

图7 Ipfentrifluconazole的结构式
与氯氟醚菌唑一样,ipfentrifluconazole也是由巴斯夫研发的新型三唑类杀菌剂,两者的化学结构相似,作用机理相同,皆为甾醇生物合成抑制剂(SBI)。Ipfentrifluconazole拥有手性化学结构,在防治由锈菌、小麦白粉菌、壳针孢菌等病原菌引起的小麦病害上,R-异构体的生物活性高于S-异构体。
3.1.2 metyltetraprole

图8 Metyltetraprole的结构式
Metyltetraprole(开发代号:S-2367;商品名:Pavecto)是由住友化学发现、巴斯夫和住友共同开发的苯基吡唑类(或四唑啉酮类)杀菌剂,为醌外抑制剂(QoI),是QoIs中的一个分支。广谱防治谷物上的许多病害,包括壳针孢菌引起的叶斑病等,并能有效防治对甲氧基丙烯酸酯类(QoIs)杀菌剂产生抗性的病原菌。该产品或将用于抗性管理项目。
2018年6月,metyltetraprole的登记资料提交给欧盟,有望于2022年在欧洲上市,商品名为Pavecto。预计其年峰值销售额约达1.50亿美元。
3.2 杀虫剂
3.2.1 fenmezoditiaz

图9 fenmezoditiaz的结构式
Fenmezoditiaz是由巴斯夫研发的介离子类杀虫剂,2021年6月获得ISO英文通用名。这是继杜邦(现科迪华)三氟苯嘧啶(通用名:triflumezopyrim)和二氯噻吡嘧啶(通用名:dicloromezotiaz)之后成功研发的第3个介离子类杀虫剂。三氟苯嘧啶与二氯噻吡嘧啶皆为烟碱型乙酰胆碱受体抑制剂,而非激动剂。
2014年4月11日,巴斯夫欧洲公司在我国申请了发明名称为“用于防除动物害虫的取代嘧啶鎓化合物和衍生物”的专利(CN105121441B)。根据专利,包括fenmezoditiaz在内的式(Ⅰ)化合物杀虫谱非常广,能有效防治鳞翅目(如二化螟、梨小食心虫、棉铃虫、玉米螟、草地贪夜蛾、甘蓝夜蛾、斜纹夜蛾、柑橘潜叶蛾等)、鞘翅目(如甲虫等)、双翅目(如蝇、蚊等)、缨翅目(如蓟马等)、等翅目(如白蚁等)、蜚蠊目(如蟑螂等)、半翅目(如蚜虫、叶蝉、白粉虱、介壳虫、牧草盲蝽、稻飞虱等)、膜翅目(如蚂蚁、红火蚁等)、直翅目(如飞蝗、沙漠蝗等)、蜱螨目、蚤目、线虫(如根结线虫、禾谷胞囊线虫、大豆胞囊线虫等)等害虫或线虫。式(Ⅰ)化合物优选防治刺吸式口器害虫,特别适用于防治半翅目和缨翅目害虫。而且,该类化合物可以防治动物体内和体外寄生虫,用量低,持效期长,对动物安全。

图10 巴斯夫专利中涉及的式(Ⅰ)化合物
式(Ⅰ)化合物及其组合物适用于禾谷类、油料作物、蔬菜、观赏植物等,如小麦、大麦、燕麦、黑麦、玉米、大豆、十字花科植物、棉花、向日葵、番茄、水稻、油菜、马铃薯、草坪、黄瓜、甜瓜、甘蔗、葡萄等。该类化合物适配性强,可以与氨基甲酸酯类、有机磷类、苯基吡唑类、拟除虫菊酯类、新烟碱类、鱼尼丁受体作用剂类、吡蚜酮、氟啶虫酰胺、四螨嗪、苏云金芽孢杆菌、双丙环虫酯、氟啶虫胺腈等杀虫杀螨剂混合使用。
4 总结
巴斯夫农业解决方案部每年投入约10%的销售额用于研发,并从研发之初就植入可持续发展基因,从而源源不断地向市场推出能够满足最新农药管理要求的新产品,成就并巩固了其全球第三大农药公司的市场地位。
近年来,巴斯夫推出了多款颇受市场瞩目的新产品,如新型异丙醇-三唑类杀菌剂氯氟醚菌唑(锐收®),具有独特化学结构的生物源杀虫剂双丙环虫酯(英威®),拥有新颖作用机理的间二酰胺类杀虫剂溴虫氟苯双酰胺(格力高®),PPO抑制剂类除草剂三氟草嗪,脂肪酸硫酯酶抑制剂环庚草醚等;公司即将上市拥有新颖作用机理的吡唑甲酰胺类杀虫剂嗪虫唑酰胺;未来还将上市新型三唑类杀菌剂ipfentrifluconazole,醌外抑制剂(QoI)metyltetraprole,介离子类杀虫剂fenmezoditiaz等。
这些产品的研发和上市不仅帮助巴斯夫实现可持续增长,而且为世界农业的健康、可持续发展作出了积极贡献。





