葡萄糖虽然是直链的含有端位醛基的还原糖,但 葡萄糖的5位羟基和1位醛基易缩合成六元环的半缩醛,我们称之为吡喃糖。然后根据1号位羟基的构型,分为α吡喃糖和β吡喃糖。(此处的构型是手性的体现,如果一个多碳有机物某C原子上面连的四个基团都不一样,这个C具有手性)

图1.葡萄糖的结构
β-葡聚糖是构成多种生物细胞壁的成分,研究比较多的主要是真菌和细菌来源的葡聚糖,和少部分植物来源的葡聚糖,比如我们熟知的燕麦β葡聚糖,是存在于燕麦胚乳和糊粉层细胞壁的一种非淀粉多糖,但燕麦葡聚糖主要是通过β-(1→3)和β-(1→4)糖苷键连接起来形成的一种高分子聚合物,严格来说,我们不称之为β-葡聚糖。
β-葡聚糖是组成很多细胞壁的骨架之一,不同来源的β-葡聚糖在结构、分子量等区别很大。不同于DNA、蛋白质研究的非常深入,对于多糖,一直是被忽视的。直到香菇多糖被发现具有抗肿瘤活性,才掀起研究的热潮。自上世纪七十年代以来,越来越多的多糖被发现具有调节免疫、抗炎、抗肿瘤、抗糖尿病等生物活性,也吸引了很多科学家对其机理的阐述。
大多数生物活性的β-葡聚糖在自然条件下都是三螺旋结构,因为三螺旋的构象,所以常见的葡聚糖溶解度会有区别。例如酵母葡聚糖不溶于水,可得然胶、木质素溶于0.05M的NaOH溶液中,科学家通过观察发现,β-1,6支链残基对水溶性起着至关重要的作用,一般没有或者支链较少的葡聚糖是水不溶的【注】。当然水溶性的β-葡聚糖溶解度也是有限的,如果浓度过高,也会发生聚集,或者浓度过高导致粘稠度过大。
表 1. 溶液中几种三螺旋β-(1,3)-D-葡聚糖的来源和化学结构



在上面的表中,我们看到裂裥菌素和小核菌胶的分子结构一致,事实上他们的三螺旋结构也近乎一致,但是表现出来的功效活性确是相差巨大的。裂裥菌素是研究非常多的具有免疫调节和抗肿瘤活性的物质,而小核菌胶主要作为增稠剂用于体系中(某特殊型号的小核菌胶也具有很强的生物活性,用于保湿和舒缓)。而影响该原料特性的主要原因可能是构象和分子量。

图2小核菌胶(Sclg)和裂裥菌素(SPG)的结构b中圈圈里面是支链与水分子的氢键络合
β-葡聚糖一般都很稳定,完全分解一般需要130-160℃(见图3),合泰新光的β-葡聚糖能耐到170℃的高温,裂裥菌素一般可以耐受130℃,pH 12.0,原因主要在于三螺旋的结构。增加溶液的极性包括强酸、强碱、DMSO等环境,也可以使β-葡聚糖的结构发生破坏,结构被破坏之后,将不再具备免疫调节的作用。一般经过破坏的结构比较难恢复到之前的构象,就如我们把米面煮熟之后,凉了也不会回到初始状态。所以我们在一般护肤品的使用过程中完全不用担心葡聚糖的失活问题。

图3.香菇多糖溶液在25℃(a)、137℃(b)和145℃(c)NaCl水溶液中的热诱导构象转变示意图。
一直强调的葡聚糖的生物活性到底是什么?它绝不简单的只是用于保湿,而是在提升机体免疫能力方面具有很强的表现。我们将通过一系列的文章来详细讲述葡聚糖的功效,以及真正的免疫护肤又是什么意思,敬请期待。
*注:纤维素的溶解性能以及改性手段
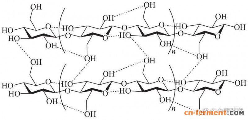
纤维素大分子的基环是D-葡萄糖以β-1,4糖苷键组成的大分子多糖,见图4.由于纤维素特殊的构型,纤维素的分子与分子之间的-OH都形成了氢键,使之无法溶于水,所以我们日常中使用到的主要是羧甲基纤维素钠、羟乙基纤维素、羟丙基纤维素等经过改性的纤维素,使之溶于水。

图4.纤维素的结构
但是我们日常原料中有一种羧甲基化的酵母葡聚糖,酵母葡聚糖不溶于水,所以一般通过羧甲基化之后便可以应用。据市场反馈依然具有比较好的功效,所以该改性方法并没有破坏葡聚糖的结构,但是羧甲基的数量一旦增加到某个程度,葡聚糖的生物活性也将丧失。

图5. 纤维素改性机理











