手机版
二维码
购物车
(
0
)
仪器设备
行业服务
原辅料
生化试剂
发酵产品
行情
会议
资讯
发酵工厂
招聘
技术资料
推广
热搜:
万古霉素
胰岛素
结晶
硫氰酸红霉素
盐酸万古霉素
食品防腐剂
淀粉
核苷酸
菌种
发酵罐
首页
仪器设备
行业服务
原辅料
生化试剂
发酵产品
行情
会议
资讯
发酵工厂
招聘
技术资料
论坛
首页
>
发酵产品
>
食品
>
低聚糖
>
其他糖
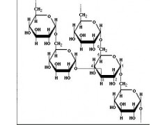
低价处理10几吨α葡聚糖(右旋糖酐)
点击图片查看原图
单价:
面议
起订:
供货总量:
发货期限:
自买家付款之日起
天内发货
所在地:
山东
有效期至:
长期有效
最后更新:
2021-03-29 21:20
浏览次数:
1018
公司基本资料信息
山东客户
联系人
愚总
未注册
邮件
电话
手机
地区
山东
注意
:发布人未在本站注册,建议优先选择
VIP会员
详细说明
低价处理10几吨α葡聚糖(右旋糖酐)
更多
>
同类发酵产品
大量供应酶法玻色因Pr
大量供应甜菊糖苷RM,
低价处理10几吨α葡聚
膜分离技术在制糖工业
低聚木糖
木糖醇
赤藓糖醇
赤藓糖醇
0
条
相关评论
网站首页
|
2025年第2期
|
设备维修
|
关于我们
|
联系方式
|
付款方式
|
广告合作
|
网站地图
|
排名推广
|
广告服务
|
积分换礼
|
网站留言
|
RSS订阅
|
违规举报
|
鄂ICP备2024036847号-1
Copyright 2005 Cn-ferment.Com Inc All Rights Reserved. 本站客服电话13720223167