手机版
二维码
购物车
(
0
)
仪器设备
行业服务
原辅料
生化试剂
发酵产品
行情
会议
资讯
发酵工厂
招聘
技术资料
推广
热搜:
万古霉素
胰岛素
结晶
硫氰酸红霉素
盐酸万古霉素
食品防腐剂
淀粉
核苷酸
菌种
发酵罐
首页
仪器设备
行业服务
原辅料
生化试剂
发酵产品
行情
会议
资讯
发酵工厂
招聘
技术资料
论坛
首页
>
服务需求
>
求购技术
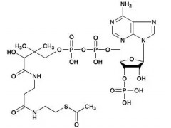
求购辅酶A发酵或酶催化技术
点击图片查看原图
需求数量:
价格要求:
包装要求:
所在地:
江苏
有效期至:
长期有效
最后更新:
2022-09-18 11:41
浏览次数:
290
公司基本资料信息
您还没有登录,请登录后查看详情
注意
:发布人未在本站注册,建议优先选择
VIP会员
详细说明
求购辅酶A发酵或酶催化技术
【工厂租赁或代加工中介收费说明】:
发酵工厂代加工或租赁服务是发酵工业网重要的服务项目之一,收费方式一般为工厂在发酵工业网中介成功之后,支付10000元。
更多
>
同类服务需求
求购谷氨酰胺转氨酶(
求购葡醛内酯酶催化生
求购头孢噻肟的酶法生
求购补骨脂酚和蓝铜肽
求购亮谷二肽发酵技术
求购大黄素甲醚发酵技
求购左旋门冬酰胺酶(
求购真黑素(Eumelanin
网站首页
|
2025年第2期
|
设备维修
|
关于我们
|
联系方式
|
付款方式
|
广告合作
|
网站地图
|
排名推广
|
广告服务
|
积分换礼
|
网站留言
|
RSS订阅
|
违规举报
|
鄂ICP备2024036847号-1
Copyright 2005 Cn-ferment.Com Inc All Rights Reserved. 本站客服电话13720223167