手机版
二维码
购物车
(
0
)
仪器设备
行业服务
原辅料
生化试剂
发酵产品
行情
会议
资讯
发酵工厂
招聘
技术资料
推广
热搜:
万古霉素
胰岛素
结晶
硫氰酸红霉素
盐酸万古霉素
食品防腐剂
淀粉
核苷酸
菌种
发酵罐
首页
仪器设备
行业服务
原辅料
生化试剂
发酵产品
行情
会议
资讯
发酵工厂
招聘
技术资料
论坛
首页
>
服务需求
>
求租工厂
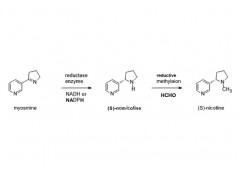
求购酶法烟碱(尼古丁)技术
点击图片查看原图
需求数量:
价格要求:
包装要求:
所在地:
湖北武汉市
有效期至:
长期有效
最后更新:
2021-07-05 21:47
浏览次数:
406
公司基本资料信息
您还没有登录,请登录后查看详情
详细说明
求购酶法烟碱(尼古丁)技术
【工厂租赁或代加工中介收费说明】:
发酵工厂代加工或租赁服务是发酵工业网重要的服务项目之一,收费方式一般为工厂在发酵工业网中介成功之后,支付10000元。
更多
>
同类服务需求
求租发酵工厂,要求发
求租发酵工厂,要求60
求租发酵工厂,需要发
拟收购内蒙、东北的发
求租或合作发酵总罐容
寻云南可出租的发酵厂
求租中小型发酵规模的
求租发酵工厂,500-10
网站首页
|
2025年第2期
|
设备维修
|
关于我们
|
联系方式
|
付款方式
|
广告合作
|
网站地图
|
排名推广
|
广告服务
|
积分换礼
|
网站留言
|
RSS订阅
|
违规举报
|
鄂ICP备2024036847号-1
Copyright 2005 Cn-ferment.Com Inc All Rights Reserved. 本站客服电话13720223167