氧是构成细胞本身及代谢产物的组分之一。对于好氧发酵,不论是基质的氧化、菌体的生长或是产物的代谢均需要大量的氧,氧可以作为一种底物考虑。
OUR:摄氧率----(Oxygen Uptake Rate,OUR)是指单位时间、单位体积发酵液细胞消耗的氧。OUR 取决于菌体浓度,与发酵液的营养成分、溶解氧水平、 菌体的生长速率以及碳源的种类和浓度等因素有关。
CO2是细胞呼吸和分解代谢的终产物, 还是某些合成代谢的基质。几乎所有发酵均产生大量 CO2。CO2的产生是一种重要的生长指标, 特别适用于早期生长阶段。在对数生长期 CO2的释放在一定条件下与细胞量成正比。监测 CO2的生成是跟踪生长活动的有效方法。二氧化碳可以作为一种产物考虑。
CER:CO2释放速率---CO2释 放 率 (Carbon-dioxide Escape Rate ,CER)是指单位时间 、单位体积发酵液细胞释放的CO2量。
RQ:呼吸商,是生物体在同一时间内,释放二氧化碳与吸收氧气的体积之比或摩尔数之比。

不同碳源经过不同的代谢途径会导致不同的呼吸商,因此根据呼吸商的变化可以判断发酵系统的状态。

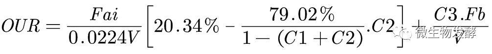
OUR:摄氧率,mmol/L/h,mol/h/m³
CER:CO2释放率,mmol/L/h,mol/h/m³
Fai:标准状态下的进气流量,m³/h,标准状态是指温度0℃,1.01x10^5Pa下的空气流量。
V:发酵液体积,m³
0.0224:标准状态下1mol气体的体积,m³/moL
20.34%:进气氧气浓度
79.02%:进气惰性气体浓度
0.03%:进气中二氧化碳浓度
C1:排出气体中二氧化碳浓度,%
C2:排出气体中氧气浓度,%
C3:发酵液中氧气浓度,mol/m³
C4:发酵液中二氧化碳的浓度,mol/ m³
Fb:补料速度:m³/h
公式补存说明:
1.公式适用于处于稳定状态的系统,溶氧在较短短时间内没有发生变化,并且忽略罐体上方气体组分变化。
2.如果补料速度相当于发酵体积很小,则公式后半部分可以忽略;
3.Fai为标准状态下进气流量,单位可根据实际情况调整,但是要和其他单位对应。在采取转子流量计时需要将转子流量计的流量转换为标准状态下的流量,转化方式为进气流量乘以f因子,f因子计算如下:

其中:273为标准状态下的温度,273+tin为实际温度,pin为进气压力,h为进气的相对湿度。
4.该公式忽略空气中水气的影响,如果考虑空气中水气的影响,则公式C1+C2部分调整为C1+C2+C5,79.02%调整为C6,其计算详见下文。
进气空气惰性气体的体积:C6=Ni=N(干空气中惰性气体浓度)(1-Nwi(进气中水分含量))
Nwi=Φ(空气相对湿度)Nw(一定温度下饱和水蒸气体积分数)

出气惰性气体的体积:N0=1-C1(排出气体中二氧化碳浓度)-C2(排出气体中氧气浓度)-C5(排除气体中水分体积分数,可以按照饱和水蒸气体积计算)
尾气中二氧化碳分压(尾气分析仪器)
尾气中氧气分压(尾气分析仪)
尾气压力和温度
进气压力和温度
进气流量
补料速度
发酵液二氧化碳浓度
参考文献:
*发酵过程解析、控制与检测技术,史仲平 潘 丰
*多尺度微生物过程优化
*尾气在线分析在发酵过程控制与优化中的应用研宄





